在三相电路的Y—Y形联接中如何用节点电压法证明电压源和负载的中性点电压相
时间:2023-03-11来源:佚名
|
在三相电路的Y—Y形联接中(电路如下图所示),试用节点电压法证明电压源和负载的中性点电压相等。 ![]()
解:选择电压源的中性点为节点电压法的参考点,如下图所示
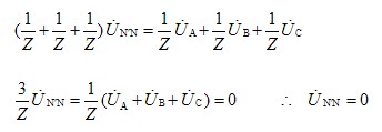
列写节点电压方程
|
|
在三相电路的Y—Y形联接中(电路如下图所示),试用节点电压法证明电压源和负载的中性点电压相等。 ![]()
解:选择电压源的中性点为节点电压法的参考点,如下图所示
列写节点电压方程
|






