直流电机转矩计算公式
|
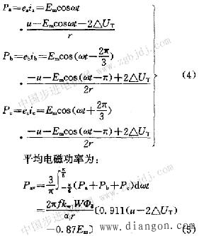
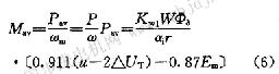
电磁转矩M=CmФIa则额定负载时电磁转矩M=Me M0Me为电机轴输出转矩M0为空载转矩,即是电机本身的阻转矩,它是因电机本身的机械摩擦和电枢铁心中的涡流、磁滞损耗都要引起阻转矩,用M0表示)一般情况下,空载转矩占电磁转矩的比例较小,在一般工程计算中可忽略不计。 直流电动机堵转转矩计算公式TK=9.55KeIK 。 本文对常用绕组及开关电路型式的无刷直流电动机平均电磁转矩公式进行推导,得出相应的关系式,文中给出了三相闭合式绕组、全桥式开关电路无刷直流电动机平均电磁转矩计算式。 a.气隙磁密正弦分布。 |















