1、静态分析
静态时Ui1 =Ui2=0,由于两管对称,设UBEQ1=UBEQ2=UBEQ,RB1=RB2=RB,RC1=RC2=RC,由基极-发射极回路列方程
 |
(1) |
 |
(2) |
则有
 |
(3) |
通常情况下,RB阻值很小,IBQ也很小,所以IBQRB可以忽略不计,发射极静态电流
 |
4) |
 |
(5) |
(1)对共模信号的抑制作用
在差动式放大电路的两个输入端加上一对大小相等极性相同的信号,即Ui1=Ui2,这种输入方式称为共模输入。共模输入信号用Uic表示。共模输入的电路如图1所示。由于电路参数对称,ΔiB1=ΔiB2,ΔiC1=ΔiC2,因此集电极电位变化也相等,共模输入时的输出电压
这说明差分放大电路对共模信号有很强的抑制作用,在参数完全对称的情况下,共模输出为零。
由于电路参数的理想对称性,温度变化时管子的电流变化完全相同,故可以将温度漂移等效成共模信号,差分放大电路对共模信号有很强的抑制作用。
 |
| 图1 输入共模信号 |
在图1中,RE对共模输入信号起负反馈作用;而且,对于每边晶体管而言,发射极电阻为2RE,阻值越大,负反馈作用越强,集电极电流变化越小,因而集电极电位的变化莫测也就越小,但RE不宜过大,因为由式(5)可知,它受电源电压UCC的限制。为了描述差分放大电路对共模信号的抵制能力,引入一个新的参数----共模放大倍数AC,定义为
 |
(8) |
式(8)中,uic为共模输入电压;uoc是uic作用下的输出电压。在电路参数理想对称的情况下,AC=0。
(2)对差模信号的放大作用
当加在两个输入端之间的输入信号Uid被输入端对地的电阻分压,它们各分得Uid的一半,但极性相反。即
 |
(9) |
这相当于在两个输入端加上一对大小相等极性相反的信号,这样的信号称为差模信号。差模输入信号如图2(a)所示。
 |
 |
| (a) |
(b) |
| 图2 输入差模信号 |
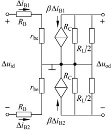
由于ui1=-ui2,又由于电路参数对称,T1、T2所产生的电流变化大小相等而变化方向相反,即ΔiB1=-ΔiB2,ΔiC1=-ΔiC2,因此集电极电位的变化也是大小相等而变化方向相反,ΔuC1=-ΔuC2,这样得到输出电压uo=uC1-uC2=2ΔuC1,从而实现电压放大。同时,T1和T2的发射极电流的变化,同基极电流一样,也是大小相等而变化方向相反,即ΔiE1=-ΔiE2,因此流过电阻RE的电流变化ΔiRE=-ΔiE1 ΔIE2=0,即RE对差模信号的无反馈作用。也就是说,RE对差模信号相当于短路,因此大大提高了对差模信号的放大能力。
由于图2 (a)中晶体管的发射极E点电位在差模信号作用下不变,相当于接“地”,由于负载电阻的中点电位在差模信号作用下也不变,也相当于接“地”,因而RL被分成相等的两部分,分别接在T1管和T2管的c和e极之间,差模信号作用下的等效电路如图2 (b)所示。
差模电压放大倍数
 |
(10) |
可见,差模电压放大倍数等于单管共射极放大电路的电压放大倍数。 由图2 (b)可得
 |
(11) |
 |
(12) |
联立(10) 、(11) 和(12)三式,可求得Aud
 |
(13) |
由此可见,虽然差动放大电路用了两只晶体管,但它的放大能力只相当于单管共射放大电路。因而差动放大电路是以牺牲一只管子的放大倍数为代价,换取抑制温度漂移的效果。
根据输入电阻的定义,根据图2 (b)所示的微变等效电路可知
 |
(14) |
根据输出电阻的定义,根据图2 (b)所示的微变等效电路可知
 |
(15) |
在理想状态下,即电路完全对称时差动式放大电路对共模信号有完全的抑制作用。实际电路中,差动式放大电路不可能做到绝对对称,这时Uoc≠0,Auc≠0,即共模输出电压不等于零,共模电压放大倍数不等于零。为了衡量差动式电路对共模信号的抑制能力,将Aud与Auc之比称为共模抑制比,用KCMR表示,即
 |
(16) |
由上式可以看出,KCMR越大,差动式放大电路放大差模信号(有用信号)的能力越强,抑制共模信号(无用信号)的能力越强,即KCMR越大越好。理想差动式电路的共模抑制比KCMR→∞。后面我们将讨论如何提高共模抑制比。由式(16)可见,在保证Aud不变的情况下,降低Ac,可以提高KCMR。
射极电阻RE越大,对于零点漂移和共模信号的抑制作用越显著。但RE越大,产生的直流压降就越大。为了补偿RE上的直流压降,使射极基本保持零电位,故增加负电源UEE,此时,基极电流IB可由UEE提供。当RE选得较大时,维持正常工作电流所需的负电源将很高,例如,若选RE=100kΩ,则维持1mA射极电流所需的负电源UEE竞高达200V,显然是不可取的。为了解决这个问题,可以采用恒流源电路代替射极电阻RE,其电路如图3(a)所示。图中T3管采用分压式偏置电路,无论T1、T2管有无信号输入,IB3恒定,IC3恒定,所以T3管称为恒流管。其简化电路如图3(b)所示。
恒流源的静态电阻U/I很小,所以不需要太大的UEE就可以得到合适的工作电流。
 |
 |
| (a)具有恒流源的差分放大电路 |
(b)简化电路 |
|
图3 恒流源差分放大电路 |
在图3(a)中,IC3=IE3,由于IC3恒定 ,故IE3恒定,则ΔIE=0,这时动态电阻rd为
 |
(17) |
恒流源对动态信号呈现高达几兆欧的电阻,rd相当于RE,所以,对差模电压放大倍数Aud无影响。对共模信号有很强的抑制能力,使Auc → 0,这时KCMR→∞。实现了在不增加负电源UEE的同时,提高了共模抑制比的目的。
(3)任意信号的分解
任意信号指:两个输入信号ui1、ui2既非差模信号又非共模信号,如图4(a)所示,可以将这对任意信号替换成一对共模信号和一对差模信号,如图4 (b)所示。
 |
 |
| (a)任意输入信号 |
(b)任意输入信号的等效替换 |
| 图4 任意信号分解 |
差模分量:
 |
(18) |
共模分量:
 |
(19) |