放大电路动态参数的分析
|
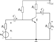
放大电路动态参数有源电压放大倍数AUS、电压放大倍数AU、输入阻抗Ri、输出阻抗Ro等。利用微变等效电路的方法来求解动态参数时,首先要画出交流通路,然后画出微变等效电路图。以图1(a)为例。分别画出它的交流通路如图1(b),然后将晶体管用微变等效电路代替,1(c)所示。一般情况下,输入信号为正弦量,因此微变等效电路中的各电量均用相量表示。
利用图1(c)所示电路,可以直接计算放大电路的动态参数。如放大倍数、输入阻抗、输出阻抗等。 1、放大倍数 放大倍数是描述一个放大电路放大能力的指标。电压放大倍数定义为输出电压与输入电压的相量之比,即
由图1(c)可知,
则电压放大倍数AU为
式中负号表示输出电压与输入电压反向。可见放大倍数与负载有关。电源电压放大倍数定义为输出电压与电源电压的相量之比,即
由于信号源内阻RS的存在,放大电路的输入电压ui是信号源电压uS在输入电阻Ri上的分压值,即
所以源电压放大倍数AUS为
显然,考虑信号源内阻时,电压放大倍数将下降。 图1(c)所示的微等效电路的电源电压放大倍数为
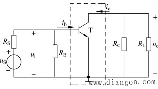
2、输入阻抗 如图2(a)所示,对于信号源而言,放大电路相当于它的负载。其等效的负载电阻称为放大电路的输入电阻Ri。定义为
如图2(a)所示电路,由
可得
通常RB为几十千欧至几百千欧,RB>>rbe,Ri≈rbe。 为了减小信号的损失,一般要求放大电路的输入电阻越大越好。 在uS和RS一定的情况下,Ri越大,则放大电路从信号源索取的电流越小,且输入电压ui越接近信号源电压US。因此,为减小信号损失,一般要求放大电路的输入电阻大一些好。 3、输出电阻 对于负载而言,放大电路相当于信号源,可以将它进行戴维南等效,戴维南等效电路的内阻就是输出电阻。输出电阻RO的求取有两种方法: 第一种方法为分析法。将输入信号短路,即令us=0,但保留信号源内阻。在输出端将负载开路(RL=∞),从输出端加交流电压Uo,它在输出端产生电流Io,由此可知,输出电阻为
对于图2-2-4(b)所示电路,由于
第二种方法是实验法。这种方法是在输入端加上一个固定的交流电压ui先测量输出端负载开路时的电压uo。再接入负载电阻RL,测输出电压
变换式(14)可得
由式(15)可见,为了使输出电压稳压提高带负载能力,即输出电压不随负载变化,需要RL>>Ro。需要想办法减小输出电阻。 总结,射极输出器的三个主要特点是:输出电压与输入电压近似相同、输入电阻大、输出电阻小。 | ||||||||||||||||||||||||||||||||||||||















,输出回路相当于电流源开路,可求得输出电阻为
则有








