为什么说理想变压器既不储能,也不耗能?

时间:2023-03-11来源:佚名

为什么说理想变压器既不储能,也不耗能?

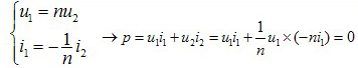
答:对于理想变压器,将电压和电流变换公式代入,得到瞬时功率

为什么说理想变压器既不储能,也不耗能?

即理想变压器的瞬时功率为零,所示理想变压器既不储能,也不耗能。

相关阅读

直流电和交流电的区别

直流电和交流电的区别。对于直流电和交流电大家并不陌生,比如干电池输出的电流为直流电,而市电就是交流电。大家是否考虑过直流电和交流电的区别,其可以通过什么方法可以把...
2023-06-27
直流电和交流电的区别

1000张电气控制电路接线图,这回总算整理全了,建议收藏!

【点击领取】 三菱案例 | 西门子案例 | 电工手册 | 工具箱 软件 【点击获取】 三菱PLC例程117个|西门子PLC例程777个 【点击下载】 2020最新电工仿真软件 新编实用电工电路600例, 是由两...
2023-06-27

怎么把PLC里面的项目传到电脑上来

怎么把plc 里面的项目传到电脑 上来啊?我的PLC 是带存储卡的,上传上来的东西带符号和注释吗?应该有的吧,因为我有存贮卡啊。 答:下载是PG ——> PLC; 上传是PLC——>PG 。 上传:...
2023-03-21

二极管钳位电路图详解 二极管的定义和应用电路

作为一个电子行业的新手工程师,二极管这个元器件是非常基础且重要的。它具有多种用途,并且在许多电路中都被广泛应用。其中,二极管钳位电路应用是非常常用的一个。通过二极...
2023-08-29
二极管钳位电路图详解 二极管的定义和应用电路

逆变器是怎么把直流电变成交流电的?

什么是逆变器?特斯拉的遗产之一(以及他的商业伙伴西屋电气公司的老板乔治威斯汀豪斯的遗产)是我们家中的大多数电器都是专门设计为使用交流电源供电的。需要直流电但必须从...
2023-04-19
逆变器是怎么把直流电变成交流电的?

热销商品

加厚abs安全帽电工建筑工地程施工领导监理透气防砸头盔可印字V型

这款加厚ABS安全帽专为电工、建筑工地施工人员、领导及监理设计,采用高强度ABS工程塑料,抗冲击、防砸性能优异,有效保障头部安全。帽体加厚设计,增强耐用性与防护等级...
5.8

欧普led筒灯3w孔灯超薄桶灯吊顶天花灯过道嵌入式洞灯客厅5w

欧普LED筒灯是一款高品质嵌入式照明产品,适用于客厅、过道、吊顶等多种场景。采用优质LED光源,提供3W和5W两种功率选择,光线柔和均匀,显色指数高,有效还原真实色彩。超...
7.45

水口钳高硬度模型剪钳电子钳工业级口水剪斜嘴钳偏口斜口专用钳子

水口钳高硬度模型剪钳是一款工业级精密工具,专为电子、模型制作及精细作业设计。采用优质高碳钢材质,经热处理工艺打造,具备卓越的硬度和耐磨性,可轻松剪切金属引脚、...
4.8

170电子剪钳II 如意斜口钳 工业斜嘴钳水口钳 模型剪塑胶钳尖嘴钳

170电子剪钳II如意斜口钳是一款专业级精密工具,集工业斜嘴钳、水口钳、模型剪、塑胶钳与尖嘴钳功能于一体,适用于电子维修、模型制作、手工艺及精密作业。其采用优...
4.5

安全帽国标工地加厚施工领导透气安全头盔建筑工程监理免费印字

本款安全帽严格遵循国家GB 2811-2019标准,专为建筑工程、工地施工及监理人员设计。采用高强度ABS工程塑料,加厚壳体有效抗冲击,保障头部安全。帽体轻盈透气,内置可调...
10

网站栏目