直流电阻测量
|
在直流条件下测得的电阻称直流电阻。在工程和实验应用中,所需测量的电阻范围很宽,约为10-6~1011Ω或更宽。从测量角度出发,一般将电阻分为小电阻(1Ω以下,如接触电阻、导线电阻等),中值电阻(1~16Ω)和大电阻(106Ω 以上,如绝缘材料电阻)。 电阻的测量方法很多,按原理可分为直接测量法、比较测量法、间接测量法;也可分为电表法、电桥法、谐振法及利用变换器测量电阻等方法。 1.电表法 电表法测量电阻的原理建立在欧姆定律之上,电压-电流表法(简称伏-安法)、欧姆表法及三表法是电表法的常见形式。 (1)伏-安法 测量直流电阻的伏-安法是一种间接测量法,利用电流表和电压表同时测出流经被测电阻RX的电流及其两端电压,根据欧姆定律,被测电阻RX的阻值为
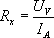
式中,UV和IA分别为电压表和电流表的示值。 伏-安法测量电阻有两种方案,如图1所示,图中RV、RA分别为电压表和电流表的内阻。图1(a)所示方案电流表示值包含了流过电压表的电流,适用于测量阻值较小的电阻;图1(b)所示方案电压表的示值包含了电流表上的压降,适用于测量阻值较大的元件。 伏-安法的优点是可按被测电阻的工作电流测量,因此非常适合测量电阻值与电流有关的非线性元件(如热敏电阻等),且测量简单。但由于电表有内阻,
图1 伏-安法测量直流电阻 故无论用哪种方案均存在方法误差,因此,伏-安法测量精度不高。 (2)欧姆表法 从式(2-70)可知,如果UV保持不变,被测电阻Rx将与通过电流表A的电流IA成单值的反比关系,而磁电式电流表指针的偏转角θ与通过的电流IA成正比,则电流表指针的偏转角能反映Rx值大小。因此,如将电流表按欧姆值刻度,就成为可直接测量电阻值Rx的仪表,称为欧姆表。 欧姆表测量电阻的电路如图2所示。 图中RA为欧姆表内阻,这里欧姆表实际是按欧姆值刻度的磁电式微安表;R1为限流电阻,S是短接开关;欧姆表中以电池的电压US作为恒定电压源,考虑到电池的电压会逐渐降低,为了消除电压变化对电阻测量的影响,设有调零电阻R2。被测电阻Rx串联接入电路中。 测量前,先将S闭合并调节R2直至欧姆表指针正确指在0刻度,然后断开S,接入被测电阻Rx进行测量,并从欧姆表直接读出被测值。 除传统的指针式欧姆表外,数字式欧姆表也已普遍使用。数字式欧姆表一般是在数字式直流电压表的输入端加一“欧姆电压变换器”后得到的,图3是欧姆-电压变换器的原理。
图2 欧姆表测量电阻电路 图3 欧姆-电压变换器原理电路 图中外接电源U经R和稳压二极管DZ,提供稳定的基准电压UZ;S为量程开关,用来切换不同的输入电阻Rn,以改变欧姆量程范围;A是反相接法的运算放大器,用来把被测电阻Rx变换为电压,故又称变换放大器。该电路的输出电压为
从上式可知变换器的输出直流电压U0与Rx成正比关系,故用直流数字式电压表来测量此U0值并按欧姆刻度,就可得到Rx值。 2.电桥法 测量直流电阻最常用的是电桥法。电桥分为直流电桥和交流电桥两大类,直流电桥主要用于测量电阻。 直流电桥由四个桥臂、检流计和电源组成,其原理电路如图3所示。图中R1、R2、R3是标准电阻,Rx是被测电阻;G是灵敏度很高的微安级磁电式检流计,用来指零。测量时调节R1、R2、R3使电桥平衡,电桥达到平衡时UBD为零,检流计G中无电流,由电桥平衡条件R1·R3=R2·Rx可得被测电阻
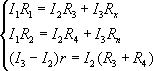
由上式可见,这种方法实质上是用标准电阻与被测电阻Rx相比较,用指零仪表指示被测量与标准量是否相等(平衡),从而求得被测量。因此这种方法又称为零位式测量法或比较测量法,测量的精度几乎等于标准量的精度,这是它的优点。这种测量方法的缺点是在测量过程中,为获得平衡状态,需要进行反复调节,测试速度慢,不能适应大量、快速测量的需要,也不适合于电阻传感器的变化电阻的测量。 直流单电桥测电阻的范围在1Ω~1MΩ之间。电阻大于1MΩ时,电桥的漏电流对测量误差的影响已不能忽略;而电阻小于1Ω时,接线电阻和接触电阻的影响开始增大。 3.直流小电阻的测量 (1)直流双电桥 直流双电桥又称开尔文电桥,它是用来测量小电阻的一种比较仪器。图5为直流双电桥原理电路。图中,Rx是被测电阻,Rn是阻值已知的标准电阻,Rx和Rn均备有四端接头以消除接线电阻、接触电阻对测量结果的影响。R1、R2、R3、R4是桥臂电阻,r是引线电阻。测量时调节桥臂电阻使I0=0,即使电桥达到平衡,则有
解此方程组可得
图4 直流单电桥原理电路 图5 直流双电桥原理电路 使电桥在调节平衡的过程中保持R1/R2=R3/R4(结构上把R1、R3和R2、R4都做成同轴调节的电阻),则(6)式简化为
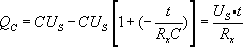
上式与单电桥公式(3)相似,但单电桥测量的是二端电阻,它包括桥臂间的引线电阻、接触电阻及被测电阻在内,当被测电阻很小时(1Ω以下),引线和接触电阻不能忽略,故测量误差很大。而双电桥中,引线和接触电阻都分别包括在相应的桥臂上,桥臂电阻R1、R2、R3和R4都选择在10Ω以上,即远大于引线和接触电阻,这样就可以消除或大大减少引线和接触电阻对测量结果的影响。双电桥测量小电阻的范围一般在1~10-5 Ω之间。 (2)数字微欧计 用直流双电桥测量小电阻有操作不方便,费时的缺点,且测量精度除与仪器有关外,还与操作人员的熟练程度有关。近些年研究发展起来的数字微欧计,是一种测量低值电阻的数字式仪表。它的基本原理是:利用直流恒流源在被测电阻Rx上产生直流电压降Ux,然后通过电压放大和A/D转换器变为数字显示的电阻值。在测量过程中,采用“四端子”(电流端子、电位端子)测量法,消除引线和接触电阻带来的误差。数字微欧计具有操作简单,省时,数显,对操作人员要求不高等优点。 (3)脉冲电流测量法 由于小电阻数值很小,如果采用电流-电压降法进行测量,则因压降一般很小,信噪比很低,要想获得高测量精度颇为困难。如加大测量电流,可以增加在被测电阻Rx上的电压降,降低对测量压降仪器的要求,但被测电阻的温度也就随之升高,阻值亦相应变化,这种现象称为电阻的负载效应。 电阻的温升是通过电流和通过时间的函数,如果控制通过电流的时间很短,则可大大减少电阻的温升,从而减少阻值的改变。因此,可以用脉冲大电流来测量小电阻。这种测量方法的原理是:由控制电路控制脉冲电流源的数值和启、停时间,放大器在电流源开启时间内工作,放大小电阻两端的电压降,计算机通过A/D转换接口读入压降值并计算出小电阻值。 脉冲电流法可以提高测量小电阻的精度、分辨力和测量速度。 4.直流大电阻的测量 常用的大电阻测量方法有冲击电流计法、高阻电桥法、兆欧表法等。大阻值电阻测量时要注意防护(安全防护和测量防护)。 (1)冲击电流计法 冲击电流计法测量原理如图6所示。图中Rx为被测电阻。当开关S倒向“1”时,电容C被充电,充电时间为t,其上的电压和电荷分别为
式中,US为电源电压。 由于t/RxC很小,取
由此得
经过时间t,开关S由“1”倒向“2”,冲击电流计测出QC为
式中,
(2)高阻电桥法 高阻电桥法利用如图7所示的六臂电桥,通过电路变换并结合四臂电桥的基本平衡条件就可推得关系式为
图6 冲击法测量大电阻原理 图7 高阻电桥测量原理 高阻电桥测量范围为108~1017Ω。被测电阻值小于1012Ω时,测量误差为0.03%,被测电阻值为1013Ω时误差为0.1%。这种电桥的供电电压在50~1000V范围。 |
(1)

(2)
(3)
(4)
(5)
(7)
(8)
啊的级数展开式的前两项已经足够,故有
(9)
(10)
(11)
为冲击电流计的冲击常数,am为电流计的最大偏转角。于是有
(12)
(13)








