输入电阻计算方法
时间:2023-03-11来源:佚名
|
对于一个如图1所示的二端网络,不论电路内部元件联接如何复杂,端口电压与端口电流成正比,其比值定义为输入电阻
图1 二端网络的输入电阻 求解输入电阻的方法可分情况归纳如下: ①如果一端口内部仅含电阻,则应用电阻的串、并联和△—Y变换等方法求它的等效电阻; ②对含有受控源和电阻的两端电路,用电压、电流法求输入电阻,即在端口加电压源,求得电流,或在端口加电流源,求得电压,得其比值即为输入电阻。 例1 计算下例一端口电路的输入电阻。
例1图 解:对于有源二端网络,先将有源网络的独立源置零:电压源短路;电流源开路(如图所示),再求输入电阻。
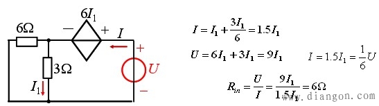
例求解 例2 计算下例一端口电路的输入电阻。
例2图 解:含有受控源和电阻的两端电路,用电压、电流法求输入电阻,本题采用在端口加电压源,求得电流后,得其比值即为输入电阻,如图所示。
图2 求解 |
(1)








