三相有功功率和无功功率的测量接线图和相量图
|
单相交流电路的无功功率也可以用有功功率表来测这是因为无功功率
如果改变接线方式,使功率表电压支路的电压U与电流线圈上的电流i之间的相位差为90°-∮,这时有功功率表的读数就是无功功率了。从图1示出的相量图中可以看出,测量有功功率时,加在电压支路上的电压为j,而测量无功功率时,就应该在电压支路上加上电压U。 由电工学的知识可知,在对称三相电路中,线电压Uvw与相电压Du之间恰有90°的相位差,也就是Uvw与U相电流I u之间有90°—¢的相位差,如图1 (b)所示。如果将图q codJ-t(a)所示的单表法测量三相有功功率的线路中单相功率表的接线改为图3(a)所示的接线方式,则加在电压支路上的电压为Uvw正好与U相中的线电流I u相位相差90°-∮,此时,功率表的读数为
而三相对称负载的电路中,无功功率为
比较式(2-28)和式(2-29)可知,只要把上述功率表的读数Q′乘以3,就可得到对称三相电路的总无功功率。 在实际的三相电路中,其负载往往不对称,因此无法采用图1(a)所示的电路进行测量。三相电路无功功率的测量方法很多,这里介绍最常用的两种。
图1 相量图
图2 单表法测量三相有功功率的接线图和相量图
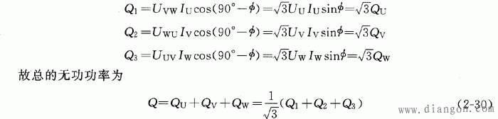
图3 测量三相无功功率的接线图和相量图 ①用三个有功功率表测量三相无功功率。接线如图4所示。在这种方法中,每一只单相功率表所测得的无功功率分别是由此可见,只要把三个表的读数相加后除以3,就得到三相电路总的无功功率。这一结论对三相三线制和三相四线制都适用。
图4 三个有功功率表测量三相无功功率的接线 ②铁磁电动系无功功率表。利用铁磁电动系测量机构可以构成三相有功功率表或无功功率表,其工作原理和基本结构与二元三相或三元三相功率表相同,即把两单元或三单元组合在一起,仪表总的转矩为两单元或三单元转矩的代数和。 铁磁电动系无功功率表通常都做成安装式仪表,其线路一般按两表法原理构成。常见的有两种线路,一种被称为两表跨接法;另一种被称为两表人工中点法,其线路如图5所示。两表跨接法无功功率表只适用于对称的三相三线制交流电路;而两表人工中点法无功功率表可用于对称及简单不对称的三相三线制电路。
图5 铁磁电动系无功功率表的线路图 |

















