射极输出器
共发射极接法的放大电路都是从集电极输出的。而射极输出器(其电路如图1所示)是从发射极输出。在接法上是一个共集电极电路;因为电源 1、静态分析 由图1所示的射极输出器的直流通路可确定静态值。
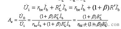
2、动态分析 (1) 电压放大倍数
由图10.14所示的射极输出器的微变等效电路可得出
式中
因 (2) 输入电阻 射极输出器的输入电阻
其阻值很高,可达几十千欧到几百千欧。 (3) 输出电阻 由于
一般只有几十欧。式中 综上所述,射极输出器的主要特点是:电压放大倍数接近1;输入电阻高,输出电阻低。因此,它常被用作多级放大电路的输入级或输出级。
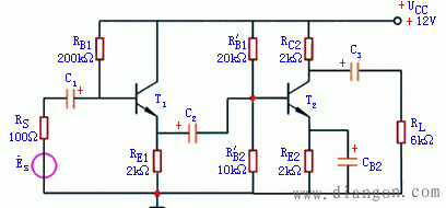
例、今将图2的射极输出器与图1的共发射极放大电路组成两极放大电路,如图4所示。已知 解: 图4为两极阻容耦合放大电路,两极之间通过耦合电容 (1) 前级静态值为 可见,输入级采用射极输出器后,放大电路的输入电阻( |
对交流信号相当于短路,故集电极成为输入与输出电路的公共端。对射极输出器,要注意其特点和用途。
(1)
(2)
(3)




,故
,两者同相,大小基本相等。但
略小于
,即
接近1,但恒小于1。
也可以从图10.14所示的微变等效电路经过计算得出,即
(4)
,当
一定时,输出电压
基本保护不变。这说明射极输出器具有恒压输出特性,故其输出阻值很低。输出电阻(不在此推导)
(5)
。
,
,
,
,
。后级的数据同例,即
,
,
,
,
,
。试求:(1)前后级放大电路的静态值;(2)放大电路的输入电阻
和输出电阻
;(3)各级电压放大倍数
,
及两极电压放大倍数
。
及下级输入电阻连接,故称为阻容耦合。由于电容有隔直作用,它可使前、后级的直流工作状态相互之间无影响,故各级放大电路的静态工作点可以单独考虑。耦合电容对交流信号的容抗必须很小,其交流分压作用可以忽略不计,以使前级输出信号电压差不多无损失地传送到后级输入端。

)比例10.4中的输入电阻(
)高出很多。







