数字积分法
时间:2023-03-11来源:佚名
|
数字积分法又称数字微分分析器(Digital Differential Analyzer,简称DDA),利用数字积分的原理,计算刀具沿坐标轴的位移,使刀具沿所加工的轨迹运动。 采用数字积分法进行插补的优点:运算速度快、脉冲分配均匀、易于实现多坐标联动或多坐标空间曲线的插补,在轮廓控制数控系统中应用广泛。 DDA插补基本原理:
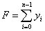
如图所示,由高等数学可知,求函数y=f(x)对x的积分运算,从几何概念上讲,是求此函数曲线与X轴在积分区间所包围的面积F。求面积F可以转化成
数字运算时,一般取Δx为单位“1”,则
函数的积分运算变成了对变量的求和运算,设累加器容量为一个单位面积值,则溢出脉冲总数为所求面积。 构造求和器(积分器、插补器)的示意图
|











