测量基本知识

时间:2023-03-11来源:佚名

1、测量的基本概念
  测量就是以同性质的标准量与被测量进行比较,并确定被测量对标准量的倍数。标准量应该是国际上或国家或省部级等单位所公认的、性能比较稳定的量。测量的数学定义为 测量基本知识.式中, X为被测物理量, v为标准量, x为比值。测量包括三要素,即测量对象、测量方法和测量设备。测量的过程包括准备、测量和数据处理三个阶段。
测量的方式按测量结果的获取方法可分为: (1) 直接测量:指从仪表的读数中直接获取测量结果的方法 。 (2)间接测量:是对被测量有一定函数关系的其它量进行直接测量,从而间接地获得测量结果的方法。 (3)组合测量 :在直接测量有一定函数关系的某些量的基础上,通过联立求解各函数关系来确定被测量的大小。
测量基本知识 测量基本知识

2、测量误差及其分类
在测量中,把测量或示值x和被测量的真值 x0的差值称为测量误差,以#表示测量基本知识
真值是一个理想的概念,理论上真值是无法知道的。
1.误差的分类
(1) 系统误差:在相同条件下,多次测量同一量值时,误差的绝对值和符号保持不变或以一定规律变化时的误差。
(2) 随机误差:在相同条件下,同一量的多次测量过程中,以不可预知的方式变化的测量误差。
(3) 人为误差:在相同条件下,同一量的多次测量过程中,以不可预知的方式变化的测量误差。
2.测量误差的表示方法 :常用测量误差的表示方法有绝对误差、相对误差和容许误差。
(1).绝对误差Δx 是测量结果 x 与被测量的真值 之差x0
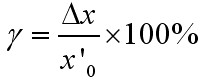
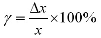
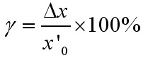
(2).相对误差r是被测量的绝对误差  与其约定值之比。它较绝对误差更能确切地说明测量的质量。在实际中,相对误差有下列表示形式。实际相对误差是用绝对误差 测量基本知识 与被测量的实际值测量基本知识  的百分比值来表示的相对误差。测量基本知识 示值相对误差是用绝对误差 测量基本知识 与器具的示值x 的百分比值来表示的相对误差。测量基本知识 满度(引用)相对误差是用绝对误差 测量基本知识 与仪表的测量值上限 测量基本知识 (满量程)的百分比值来表示的相对误差。 测量基本知识
3、仪表的准确度
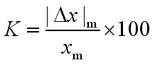
  为了能从全局的观点反映一只仪表的误差情况,采用仪表的最大引用(满量程)误差 ,即 测量基本知识.式中, 测量基本知识是仪表的绝对误差限,即在仪表的量限范围内可能出现的最大绝对误差;Xm 是仪表的满量程值。
仪表的准确度就是用仪表的最大引用误差 来表示的。准确度等级K的定义为 测量基本知识. 仪表的准确度等级符号都标在仪表的刻度盘上。根据国家标准的规定,我国生产的电工仪表准确度等级K共分为0.1、0.2 、 0.5 、 1.0 、 1.5 、 2.5 、 5.0七级。
测量基本知识.测量基本知识

    相关阅读

    屋顶光伏发电有辐射吗?与家用电器辐射比较哪个更安全

    在深入比较光伏发电与家用电器的辐射安全性之前,我们首先需要了解什么是电磁辐射。电磁辐射是指电磁波以波的形式在空间中传播的能量,涵盖了无线电波、微波、红外线、可见光、...
    2024-10-11
    屋顶光伏发电有辐射吗?与家用电器辐射比较哪个更安全

    干了多年的电工,竟然想不明白这个黑疙瘩是什么东西!

    小编在近日的网络浏览中,偶然间看到了一位老电工发出一张配电箱的图片询问配电箱里面的黑疙瘩到底是什么物件。小编满心疑惑,迫切地想知道这个神秘之物究竟是什么? 小编看到帖...
    2024-09-26
    干了多年的电工,竟然想不明白这个黑疙瘩是什么东西!

    水电改造,水管和电线能同时走地吗?这样做优缺点有哪些呢?

    水电改造这个深水坑,如果装修时自己没注意,又刚好遇上不靠谱的装修队伍,往往水泥一封,被封印在墙里的水管一旦出现问题就成了后期麻烦的始发地。水电改造中就水管走顶还是...
    2023-06-11
    水电改造,水管和电线能同时走地吗?这样做优缺点有哪些呢?

    电工常用的电线线径及载流量计算方法大全和解析,建议收藏

    其实电线也可以称呼它的直径的 ,比如1平方的也可称直径1.13mm ,1.5平方的也可说是1.37(mm 直径)。因为选用电线时主要考虑电线使用时会不会严重发热造成事故,电线的(截面积)平...
    2023-06-11
    电工常用的电线线径及载流量计算方法大全和解析,建议收藏

    作为电工,你连保护接地、接零、漏保还傻傻分不清楚吗?

    猜你喜欢 新手学习——给排水工程图识读 新手学习——防雷地接工程图识图课件 新手学习——电气图基本知识与图形、文字符号...
    2023-06-11

    热销商品

    加厚abs安全帽电工建筑工地程施工领导监理透气防砸头盔可印字V型

    这款加厚ABS安全帽专为电工、建筑工地施工人员、领导及监理设计,采用高强度ABS工程塑料,抗冲击、防砸性能优异,有效保障头部安全。帽体加厚设计,增强耐用性与防护等级...
    5.8

    欧普led筒灯3w孔灯超薄桶灯吊顶天花灯过道嵌入式洞灯客厅5w

    欧普LED筒灯是一款高品质嵌入式照明产品,适用于客厅、过道、吊顶等多种场景。采用优质LED光源,提供3W和5W两种功率选择,光线柔和均匀,显色指数高,有效还原真实色彩。超...
    7.45

    水口钳高硬度模型剪钳电子钳工业级口水剪斜嘴钳偏口斜口专用钳子

    水口钳高硬度模型剪钳是一款工业级精密工具,专为电子、模型制作及精细作业设计。采用优质高碳钢材质,经热处理工艺打造,具备卓越的硬度和耐磨性,可轻松剪切金属引脚、...
    4.8

    170电子剪钳II 如意斜口钳 工业斜嘴钳水口钳 模型剪塑胶钳尖嘴钳

    170电子剪钳II如意斜口钳是一款专业级精密工具,集工业斜嘴钳、水口钳、模型剪、塑胶钳与尖嘴钳功能于一体,适用于电子维修、模型制作、手工艺及精密作业。其采用优...
    4.5

    安全帽国标工地加厚施工领导透气安全头盔建筑工程监理免费印字

    本款安全帽严格遵循国家GB 2811-2019标准,专为建筑工程、工地施工及监理人员设计。采用高强度ABS工程塑料,加厚壳体有效抗冲击,保障头部安全。帽体轻盈透气,内置可调...
    10

    网站栏目