运算放大器的理想化模型
时间:2023-03-11来源:佚名
|
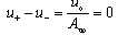
在分析运算放大器的应用电路时,如果将实际运放理想化,会使分析和计算大大简化。运放的理想化模型实际上是一组理想化的参数: 开环电压放大倍数Auo ∞。开环差模输入电阻iid ∞。开环输出电阻ro ∞。共模抑制比KCMR ∞。![]() 图表示理想集成运放的简化图形符号,标着“ ”的是同相输入端 u 和输出端 uo,标着“-”的是反相输入端u- 。“∞ ”表示开环放大倍数的理想化条件。 根据理想运算放大器的上述特性,可得到以下三个基本特点: (1)由于理想运算放大器的差模输入电阻rid= ∞,所以理想运算放大器的输入电流为零,即 ![]() 输入电流为零,与断路相类似,但并没真的断路,故称为“虚断路”,简称“虚断”。 (2)当理想运算放大器工作在线性区时,由于其开环电压放大倍数Auo ∞ ,而输出电压uO 是一个介于(-UOM ~ UOM) 之间的有限值,故可知![]() 即得 ![]() 两个输入端之间的电位近似相等,可以看成短路,但并未真的短路,故称为“虚短路”,又称“虚短”。特别是当同相输入端接地时,反相输入端可以看成是“虚地”。 (3)当 u ≠u-时,理想运算放大器工作在饱和区,又称非线性区,当 u >u- 时,uO = uOm;当 u <u- 时,uO =-uOm。 |
∞。











