同步时序逻辑电路设计举例
时间:2023-03-11来源:佚名
|
例如 用J-K触发器作为存储元件,设计一个“101”序列检测器。该电路有一个输入x和一个输出Z,当随机输入信号中出现“101”序列时,输出一个1信号。典型输入、输出序列如下。 输入x:0 0 1 0 1 0 1 1 0 1 0 0 输出Z:0 0 0 0 1 0 1 0 0 1 0 0 解 假定用Moore型同步时序电路实现给定功能,设计过程如下。 ① 作出原始状态图和状态表 设初始状态为A,根据题意可作出原始状态图如图1所示,原始状态表如表1所示。
图1 表1
② 状态化简 根据化简法则可知,表5.3已是最小化状态表。 ③ 状态编码 由于最小化状态表中共有4个状态,故需2位二进制代码表示,即电路中要有2个触发器。设状态变量为y2、y1,根据相邻法的编码原则,可令y2y1的4种取值00、01、10、11分别对应状态A、B、C、D,相应的二进制状态表如表2所示。 表2
④ 确定激励函数和输出函数 根据表2所示二进制状态表和J-K触发器的激励表,可列出激励函数和输出函数真值表如表3所示。 表3
用卡诺图对表3中的激励函数和输出函数化简后,可得到其最简表达式如下:
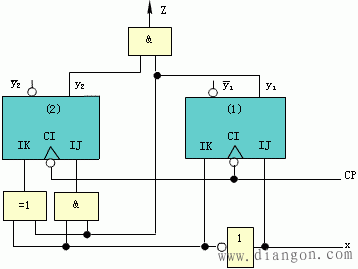
⑤ 画逻辑电路图 根据输出函数和激励函数表达式,可画出“101”序列检测器的逻辑电路图如图2所示。
图2 | ||||||||||||||||||||||||||||||









