晶体谐振器的关键参数详解
|
1、标称频率
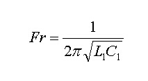
指晶体元件规范中所指定的频率,也即用户在电路设计和元件选购时所希望的理想工作频率。 2、调整频差 基准温度时,工作频率相对于标称频率的最大允许偏离。常用ppm(1/106)表示。 3、温度频差 在整个温度范围内工作频率相对于基准温度时工作频率的允许偏离。常用ppm(1/106)表示。 4、老化率 指在规定条件下,由于时间所引起的频率漂移。这一指标对精密晶体是必要的,但它“没有明确的试验条件,而是由制造商通过对所有产品有计划抽验进行连续监督的,某些晶体元件可能比规定的水平要差,这是允许的”(根据IEC的公告)。老化问题的最好解决方法只能靠制造商和用户之间的密切协商。 5、谐振电阻(Rr) 指晶体元件在谐振频率处的等效电阻,当不考虑C0的作用,也近似等于所谓晶体的动态电阻R1或称等效串联电阻(ESR)。这个参数控制着晶体元件的品质因数,还决定所应用电路中的晶体振荡电平,因而影响晶体的稳定性以致是否可以理想的起振。所以它是晶体元件的一个重要指标参数。一般的,对于一给定频率,选用的晶体盒越小,ESR的平均值可能就越高;绝大多数情况,在制造过程中并不能预计具体某个晶体元件的电阻值,而只能保证电阻将低于规范中所给的最大值。 6、负载谐振电阻(RL) 指晶体元件与规定外部电容相串联,在负载谐振频率FL时的电阻。对一给定晶体元体,其负载谐振电阻值取决于和该元件一起工作的负载电容值,串上负载电容后的谐振电阻,总是大于晶体元件本身的谐振电阻。 7、负载电容(CL) 与晶体元件一起决定负载谐振频率FL的有效外界电容。晶体元件规范中的CL是一个测试条件也是一个使用条件,这个值可在用户具体使用时根据情况作适当调整,来微调FL的实际工作频率(也即晶体的制造公差可调整)。但它有一个合适值,否则会给振荡电路带来恶化,其值通常采用10pF、15pF 、20pF、30pF、50pF、∝等,其中当CL标为∝时表示其应用在串联谐振型电路中,不要再加负载电容,并且工作频率就是晶体的(串联)谐振频率Fr。用户应当注意,对于某些晶体(包括不封装的振子应用),在某一生产规范既定的负载电容下(特别是小负载电容时),±0.5pF的电路实际电容的偏差就能产生±10×10-6的频率误差。因此,负载电容是一个非常重要的订货规范指标。 8、静态电容(C0) 等效电路静态臂里的电容。它的大小主要取决于电极面积、晶片厚度和晶片加工工艺。 9、动态电容(C1) 等效电路中动态臂里的电容。它的大小主要取决于电极面积,另外还和晶片平行度、微调量的大小有关。 10、动态电感(L1) 等效电路中动态臂里的电感。动态电感与动态电容是一对相关量。 11、谐振频率(Fr) 指在规定条件下,晶体元件电气阻抗为电阻性的两个频率中较低的一个频率。根据等效电路,当不考虑C0的作用,Fr由C1和L1决定,近似等于所谓串联(支路)谐振频率(Fs)。这一频率是晶体的自然谐振频率,它在高稳晶振的设计中,是作为使晶振稳定工作于标称频率、确定频率调整范围、设置频率微调装置等要求时的设计参数。
12、负载谐振频率(FL) 指在规定条件下,晶体元件与一负载电容串联或并联,其组合阻抗呈现为电阻性时两个频率中的一个频率。在串联负载电容时,FL是两个频率中较低的那个频率;在并联负载电容时,FL则是其中较高的那个频率。对于某一给定的负载电容值(CL),就实际效果,这两个频率是相同的;而且 这一频率是晶体的绝大多数应用时,在电路中所表现的实际频率,也是制造厂商为满足用户对产品符合标称频率要求的测试指标参数。
13、品质因数(Q) 品质因数又称机械Q值,它是反映谐振器性能好坏的重要参数,它与L1和C1有如下关系: Q=wL1/R1=1/wR1C1 如上式,R1越大,Q值越低,功率耗散越大,而且还会导致频率不稳定。反之Q值越高,频率越稳定。 14、激励电平(Level of drive) 是一种用耗散功率表示的,施加于晶体元件的激励条件的量度。所有晶体元件的频率和电阻都在一定程度上随激励电平的变化而变化,这称为激励电平相关性(DLD),因此订货规范中的激励电平须是晶体实际应用电路中的激励电平。正因为晶体元件固有的激励电平相关性的特性,用户在振荡电路设计和晶体使用时,必须注意和保证不出现激励电平过低而起振不良或过度激励频率异常的现象。 15、激励电平相关性(DLD) 由于压电效应,激励电平强迫谐振子产生机械振荡,在这个过程中,加速度功转化为动能和弹性能,功耗转化为热。后者的转换是由于石英谐振子的内部和外部的摩擦所造成的。 摩擦损耗与振动质点的速度有关,当震荡不再是线性的,或当石英振子内部或其表面及安装点的拉伸或应变、位移或加速度达到临界时,摩擦损耗将增加。因而引起频率和电阻的变化。 加工过程中造成DLD不良的主要原因如下,其结果可能是不能起振: 1) 谐振子表面存在微粒污染。主要产生原因为生产环境不洁净或非法接触晶片表面; 2) 谐振子的机械损伤。主要产生原因为研磨过程中产生的划痕。 3) 电极中存在微粒或银球。主要产生原因为真空室不洁净和镀膜速率不合适。 4) 装架是电极接触不良; 5) 支架、电极和石英片之间存在机械应力。 16、DLD2(单位:欧姆) 不同激励电平下的负载谐振电阻的最大值与最小值之间的差值。(如:从0.1uw~200uw,总共20步)。 17、RLD2(单位:欧姆) 不同激励电平下的负载谐振电阻的平均值<与谐振电阻Rr的值比较接近,但要大一些>。(如:从0.1uw~200uw,总共20步)。 18、寄生响应 所有晶体元件除了主响应(需要的频率)之外,还有其它的频率响应。减弱寄生响应的办法是改变晶片的几何尺寸、电极,以及晶片加工工艺,但是同时会改变晶体的动、静态参数。 寄生响应的测量 1) SPDB 用DB表示Fr的幅度与最大寄生幅度的差值; 2) SPUR 在最大寄生处的电阻; 3) SPFR 最小电阻寄生与谐振频率的距离,用Hz或ppm表示。 |










