1、传热学的基本概念及传热的三种方式
传热学是研究热能传递规律的一门科学。热能可以自发地从高温物体向低温物体传递,因此,只要存在温度差,就必然发生热能的传递过程。可见,热能的传递现象是日常生活和工程技术中常见的现象。
为了便于分析,按照热传递过程中物质运动的特点,把热传递分为以下三种基本方式:
(1)热传导:简称“导热”,它是不同温度的物体之间通过直接接触,或同一物体不同温度的各部分之间,当没有宏观相对位移时,由分子、原子或自由电子等微粒的热运动来传递热量的过程。
(2)热对流:它是流体中不同温度的各部分之间,由流体微团宏观相对位移来传递热量的过程。
(3)热辐射:当物体温度高于绝对零度时,物体由于具有一定温度而向外放射辐射能,辐射能通过电磁波向外传播。物体将热能转化为向外放射辐射能的现象称为“热辐射”,其电磁波的波长范围为0.4~1000μm。不同温度的物体之间,由电磁波来传递热量的过程,称为“辐射换热”。
2、导热
导热是依靠物质的分子、原子或者自由电子等微粒的热运动来传递热能的。只要有温度差,无论固体、液体或气体中都会有导热现象。同理,在固体与液体、固体与气体以及液体与气体接口上也有导热现象。在任一瞬间,在所研究的空间中所有点上的温度分布称为温度场。稳定温度场中各点的温度不随时间而改变,它可表示为:
=
(x、y、z)
温度分布可以是三个坐标、两个坐标或一个坐标的函数,即温度场有三维、二维和一维温度场,一维温度场表达式为:
温度相同的点集合的线或面称等温线或等温面。
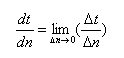
温度梯度是等温面法线方向上单位长度的温度增量,其数学表达式为:

温度梯度是向量,其方向沿等温面的法向指向温度增加的这一边,因为热传导的方向是由高温到低温,所以导热的方向与温度梯度的方向相反。
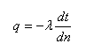
单位时间内,由于导热通过等温面单位面积的热流量与温度梯度成正比,即


上式称为傅立叶定律的数学表达式。其中比例系数
称为导热系数。负号表示热流量的方向与温度梯度的方向相反。同理,单位时间流过面积F的导热量


导热系数是每单位温度梯度所传导的热流密度值。不同物质的λ值差异很大。按物质的种类来分,λ值以金属为最大,非金属固体较大,液体较小而气体为最小。其中银的λ=418 W/(m·℃)为最大,哥罗仿气体的λ=0.006 6/(m·℃)为最小。其具体数值可查有关热工手册。
3、对流换热
流动流体与固体壁面之间的热交换过程称为对流换热。这种换热过程,既包括壁面与流体直接接触的导热,还包括因密度差在流体内引起的热对流。英国物理学家牛顿提出了对流换热公式——牛顿冷却定律,即壁面外表面与冷却水之间的对流换热公式为:

式中:
—对流换热的热流量,单位为
;
—换热面积,单位为
—冷却流体温度,单位为℃;
—壁面温度,单位为℃;
—放热系数,
,是壁面对冷却流体的放热系数。
可见,对流换热的热流量
与温差
成正比,与放热系数
成正比。
越大,对流换热越强烈。反之,
越小,对流换热则越弱。
4、辐射换热
物体中的原子内部,处于束缚态的电子从高能态向低能态跃迁时,使电场发生变化,电场的变化引起相应磁场的变化,而磁场的变化又激起电场变化。这样由于电子跃迁所释放的能量就以交替变化的电磁波向四周放射出去,这种能量就叫做辐射能。因此,辐射能的发射是原子内部经过复杂运动的结果,而热辐射是因热能使原子内部激动所发出的电磁波。可见,物体只要有一定的温度,便不可避免地发射出热辐射。物体温度越高则发射的辐射能量越多。由于电磁波的传播是以光速进行的,而又不需要任何中间介质,因此辐射换热是可以在真空中以光速进行的热传递过程。
电磁波包括波长从10-8μm到几公里的各种波(1μm=10-6m)。根据不同波长范围的电磁波效应和用途,人们把它们分为宇宙线、γ射线、x射线、紫外线、可见光线、红外线和无线电波等。传热学中用来进行热辐射的电磁波仅有可见光线和红外线。人们把0.4~1000μm这一波长范围内的电磁波称为热射线。其中包括0.4~0.7μm的可见光线,0.7~25μm的近红外线和25~1000μm的远红外线。可见光线所处的波长范围很窄,又处于短波区,它在一般工程范围内其热效应较小。近红外线的能量占热射线能量中的大部分。人们将热射线的传播过程称为“热辐射。
热射线中包括有可见光线,因此可见光线的投射、反射和折射的规律也适用于热射线。

图1物体对热辐射的吸收、反射和透射
如果A=1,则R=0,D=0。这说明所有落在物体上的辐射能全部被该物体所吸收,这一类物体叫做绝对黑体或黑体。
如果R=1,则A=0,D=0。这说明所有落在物体上的辐射能全部被反射,该物体称为绝对白体或白体。
如果D=1,A=0,R=0。这说明所有落在物体上的辐射能全部穿过该物体,该物体称为绝对透明体或透明体。
自然界中并不存在绝对黑体、绝对白体和绝对透明体,这些概念的建立都是为了研究辐射现象方便而假定的。A、R和D的数值要由物体的性质、温度和辐射的波长来决定。例如,空气对热射线是透明体,但当空气中混杂有水蒸汽或碳酸气时,它就变成半透明介质。玻璃对于红外线、紫外线是不透明体,它只允许可见光透过,因此人们用玻璃来制作暖房。因为玻璃只允许可见光线将辐射能传入暖房,却不允许暖房的红外线辐射出去,因此暖房内温度不断升高。
对常温下的热射线来说,黑漆、白漆与黄漆等,其吸收率为0.90~0.95,但对太阳辐射,因为可见光约占一半的能量,所以黑漆的吸收率为0.96,而白漆的吸收率仅为0.12~0.16。可见,颜色的深浅对可见光的吸收率影响最大。对常温下的热射线来说,吸收率主要决定于物体表面的粗糙度,不管什么颜色,平滑面和磨光面,其反射率都要比粗糙面高好几倍。这是因为热射线射到凹凸不平的壁面上会形成多次反射和吸收,使总的吸收量QA增大。
实践证明,气体对于辐射能几乎不能反射,因此反射率R=0,所以A D=1。当辐射能投射固体或液体的表面时,除反射的能量外,其余的能量在进入表面很小距离内即被吸收完毕。因而可以认为固体和液体的穿透率D=0,其A R=1。