电感、电容电压的频率特性
时间:2023-03-13来源:佚名
|
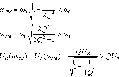
1.UL(w ) 的频率特性 ![]() 2.UC(ω)的频率特性 ![]() ![]() 当η=0时,电感相当于短路,电压全部加在电容上,UL= 0, UC= US ;当η=1时,即谐振,UL =UC = QUS ;当η→∞时,电容相当于短路,电压全部加在电感上UL=US,UC=0。 根据数学分析,当 才会出现UC(ω) ,UL(ω) 最大值。且UC(ωCM)=UL(ωLM)。 Q越高,ωLM和ωCM 越靠近ω0 由于电感、电容电压最大值出现在谐振频率附近很小的范围内,因此同样可以用串联谐振电路来选择谐振频率及其附近的电压,即对电压也具有选择性。 上面得到的都是由改变频率而获得的,如改变电路参数,则变化规律就不完全与上相似。 上述分析原则一般来讲可以推广到其它形式的谐振电路中去,但不同形式的谐振电路有其不同的特征,要进行具体分析,不能简单搬用。 |



才会出现UC(ω) ,UL(ω) 最大值。且UC(ωCM)=UL(ωLM)。






