RLC串联谐振电路的频率响应
时间:2023-03-13来源:佚名
|
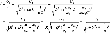
1.阻抗及阻抗角的频率特性 ![]() 2.电流的频率特性 谐振曲线:表明电压、电流的有效值随频率变化的曲线。 幅值关系: ![]() ![]() ![]() 3.相对频率特性 为比较不同的RLC串联电路的频率响应在性能上的差异,纵、横坐标采用相对于谐振点的比值(倍率)为绘制频率特性的坐标系。 ![]() 为外加激励电压频率与谐振频率的比值。 ![]() 该式描述了相对电流值 与 的函数关系,就是电路的相对电流频率特性。 |
|
1.阻抗及阻抗角的频率特性 ![]() 2.电流的频率特性 谐振曲线:表明电压、电流的有效值随频率变化的曲线。 幅值关系: ![]() ![]() ![]() 3.相对频率特性 为比较不同的RLC串联电路的频率响应在性能上的差异,纵、横坐标采用相对于谐振点的比值(倍率)为绘制频率特性的坐标系。 ![]() 为外加激励电压频率与谐振频率的比值。 ![]() 该式描述了相对电流值 与 的函数关系,就是电路的相对电流频率特性。 |





