电阻的串联、并联和串并联
时间:2023-03-13来源:佚名
|
1. 电阻串联( Series Connection of Resistors )
(1)电路特点
图示为n个电阻的串联,设电压、电流参考方向关联,由基尔霍夫定律得电路特点:
(a) 各电阻顺序连接,根据KCL知,各电阻中流过的电流相同; (b) 根据KVL,电路的总电压等于各串联电阻的电压之和,即:
(2)等效电阻
把欧姆定律代入电压表示式中得:
以上式子说明图(a)多个电阻的串联电路与图(b)单个电阻的电路具有相同的VCR,是互为等效的电路。
结论:
(1)电阻串联,其等效电阻等于各分电阻之和; (2)等效电阻大于任意一个串联的分电阻。 (3)串联电阻的分压 若已知串联电阻两端的总电压,求各分电阻上的电压称分压。由图(a)和图(b)知:
结论:
电阻串联,各分电阻上的电压与电阻值成正比,电阻值大者分得的电压大。因此串连电阻电路可作分压电路。 例1: 求图示两个串联电阻上的电压。
解: 由串联电阻的分压公式得:
(4)功率
从上各式得到结论:
(1)电阻串连时,各电阻消耗的功率与电阻大小成正比,即电阻值大者消耗的功率大; (2)等效电阻消耗的功率等于各串连电阻消耗功率的总和。 2. 电阻并联 (Parallel Connection)
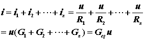
(1) 电路特点 图示为n个电阻的并联,设电压、电流参考方向关联,由基尔霍夫定律得电路特点:
(2) 等效电阻
把欧姆定律代入电流表示式中得:
以上式子说明图(a)多个电阻的并联电路与图(b)单个电阻的电路具有相同的VCR,是互为等效的电路。
结论:
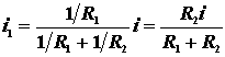
(1)电阻并联,其等效电导等于各电导之和且大于分电导; (2)等效电阻之倒数等于各分电阻倒数之和,等效电阻小于任意一个并联的分电阻。 (3)并联电阻的电流分配 若已知并联电阻电路的总电流,求各分电阻上的电流称分流。由图(a)和图(b)知:
对于两电阻并联,有:
结论:电阻并联,各分电阻上的电流与电阻值成反比,电阻值大者分得的电流小。因此并连电阻电路可作分流电路。
(4) 功率
从上各式得到结论:
(1) 电阻并连时,各电阻消耗的功率与电阻大小成反比,即电阻值大者消耗的功率小; (2) 等效电阻消耗的功率等于各并连电阻消耗功率的总和。 3. 电阻的串并联
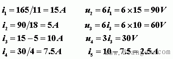
电路中有电阻的串联,又有电阻的并联的电路称电阻的串并联电路。电阻相串联的部分具有电阻串联电路的特点,电阻相并联的部分具有电阻并联电路的特点。 例2: 电路如图所示,计算各支路的电压和电流。
解:这是一个电阻串、并联电路,首先求出等效电阻Reg=11W,
则各支路电流和电压为:
从以上例题可得求解串、并联电路的一般步骤: (1) 求出等效电阻或等效电导; (2)应用欧姆定律求出总电压或总电流; (3)应用欧姆定律或分压、分流公式求各电阻上的电流和电压。 因此,分析串并联电路的关键问题是判别电路的串、并联关系。 判别电路的串并联关系一般应掌握下述4点: (1)看电路的结构特点。若两电阻是首尾相联就是串联,是首首尾尾相联就是并联。 (2)看电压电流关系。若流经两电阻的电流是同一个电流,那就是串联;若两电组上承受的是同一个电压,那就是并联。 (3)对电路作变形等效。如左边的支路可以扭到右边,www.gdzrlj.com上面的支路可以翻到下面,弯曲的支路可以拉直等;对电路中的短线路可以任意压缩与伸长;对多点接地可以用短路线相连。一般,如果真正是电阻串联电路的问题,都可以判别出来。 (4)找出等电位点。对于具有对称特点的电路,若能判断某两点是等电位点,则根据电路等效的概念,一是可以用短接线把等电位点联起来;二是把联接等电位点的支路断开(因支路中无电流),从而得到电阻的串并联关系。 |








































