相量的运算
时间:2023-03-13来源:佚名
|
正弦量乘以常数,正弦量的微分、积分及同频率正弦量的代数和等运算,其结果仍为一个同频率的正弦量。其相应的相量运算如下:
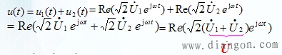
1.同频率正弦量相加减
得: 这实际上是一种变换思想,由时域变换到频域。
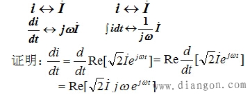
时域:在变量是时间函数条件下研究网络,以时间为自变量分析电路。 频域:在变量经过适当变换的条件下研究网络,以频率为自变量分析电路。 相量法:将正弦时间函数 “变换” 为相量后再进行分析, 属于频域分析。 例2. 同频正弦量的加、减运算可借助相量图进行。相量图在正弦稳态分析中有重要作用,尤其适用于定性分析。 2.正弦量的微分,积分运算 (1)正弦量的导数是一个同频率的正弦量,其相量等于原正弦量的相量乘以jω,即表示di/dt 的相量为: 该相量的模为ωI ,辐角则超前原相量π/2 。 (2)正弦量的积分结果为同频率的正弦量,其相量等于原正弦量的相量除以jω,即表示∫idt 的相量为: 该相量的模为 I /ω ,辐角则滞后原相量π/2。 |


















