电路戴维宁定理和诺顿定理

时间:2023-03-13来源:佚名

工程实际中,常碰到只需研究某一支路的工作情况。这时,可以将除该支路外的电路其余部分 (通常为一个有源二端网络或称一端口网络),等效变换为较简单的含源支路(电压源与电阻串联或电流源与电阻并联支路),可大大方便分析和计算。

  电路戴维宁定理和诺顿定理
  戴维宁定理和诺顿定理正是给出了如何将一个有源线性一端口等效为实际电源模型的分析计算方法。
一、几个名词
  1.一端口 (亦称二端网络:two-terminal circuit)
  电路戴维宁定理和诺顿定理
  网络与外部电路只有一对端钮连接。

其中从一个端钮(如a)流入的电流一定等于从另一端钮(如b) 流出的电流。
  2.含源(active)与无源(passive)一端口网络
  网络内部含有独立电源的一端口网络称为含源一端口网络(NS)。
  网络内部没有独立电源的一端口网络称为无源一端口网络(N0)。
  电路戴维宁定理和诺顿定理
  等效电源定理的概念
  有源二端网络用实际电源模型替代,便为等效电源定理。
  电路戴维宁定理和诺顿定理
二、戴维宁定理

1.定义
  对一个含有独立电源、电阻和受控源的线性一端口网络,对外电路来说,一般可以用一个电压源和电阻的串联组合来等效置换;此电压源的电压等于一端口的开路电压(open-circuit voltage)Uoc,而电阻等于一端口中全部独立电源置零后的输入电阻Req

电路戴维宁定理和诺顿定理
  2.戴维宁定理的证明
  电路戴维宁定理和诺顿定理
  3.等效电源定理中等效电阻的求解方法
  (1)无受控源的一端口,其等效内阻Req用电阻串、并联或Y-Δ等效变换的方法即可求出。
  例:
  电路戴维宁定理和诺顿定理
  (2)加压求流法或加流求压法
  将原有的含源一端口网络NS内所有独立电源均变为零,化为无源一端口网络N0后,在其端口a,b处外施一个电压U,求其端口处的电流I(或者在端口处引入一个电流I,求端口处的两端电压U),则端口处的输入电阻(等效电阻)为:
  电路戴维宁定理和诺顿定理
  (3)开路电压,短路电流法
  电路戴维宁定理和诺顿定理
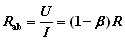
  例15. 求 a,b 两端的入端电阻 Rab(β≠1)。
  电路戴维宁定理和诺顿定理
  解:通常有两种求入端电阻的方法
  ① 加压求流法
  ② 加流求压法
  下面用加流求压法求Rab
  电路戴维宁定理和诺顿定理
  电路戴维宁定理和诺顿定理
  当β<1 , Rab>0,正电阻
  当β>1 , Rab<0,负电阻
  含受控源的二端网络的输入电阻可能出现负值。具有负值的电阻只是一种电路模型。
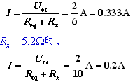
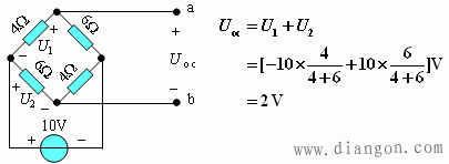
  例16.
  电路戴维宁定理和诺顿定理
  解:保留Rx支路,将其余一端口网络化为戴维宁等效电路:
  电路戴维宁定理和诺顿定理
  (1)求开路电压
   电路戴维宁定理和诺顿定理
  (2)求等效电阻Req
   电路戴维宁定理和诺顿定理
  (3)原电路可等效为右图电路,其中:
  UOC= 2V
  Req= 4.8Ω
  (4) Rx = 1.2时,
  电路戴维宁定理和诺顿定理
  电路戴维宁定理和诺顿定理
  4.含受控源电路戴维南定理的应用
  注意: 当一端口内部含有受控源时,其控制电路也必须包含在被化简的一端口中。
  例7.
  电路戴维宁定理和诺顿定理
  解:(1)求开路电压UOC
  电路戴维宁定理和诺顿定理
  (2) 求等效电阻Req
  电路戴维宁定理和诺顿定理
  (3) 等效电路
  电路戴维宁定理和诺顿定理
  电路戴维宁定理和诺顿定理
  (1) 求开路电压UOC
  电路戴维宁定理和诺顿定理
  (2) 求输入电阻Req
  电路戴维宁定理和诺顿定理
  (3) 求等效电路
  电路戴维宁定理和诺顿定理
三、诺顿定理

定义:对于一个含独立电源,线性电阻和线性受控源的一端口网络,对外电路来说,一般可以用一个电流源和电导(电阻)的并联组合来等效置换;电流源的电流等于该含源一端口网络的短路电流(short-circuit current)Isc,而电导(电阻)等于把该一端口网络中的全部独立电源置零后的输入电导Geq(等效电阻Req)。

电路戴维宁定理和诺顿定理

  诺顿等效电路可由戴维南等效电路经电源等效变换得到。但须指出,诺顿等效电路可独立进行证明。证明过程从略。
  例19. 求电流I 。
  电路戴维宁定理和诺顿定理
  解:(1)求Isc
  电路戴维宁定理和诺顿定理
  (2) 求Req:串并联
  将一端口中全部独立电源置零,即为右图电阻的串并联
  电路戴维宁定理和诺顿定理
  (3) 诺顿等效电路:电路戴维宁定理和诺顿定理
  电路戴维宁定理和诺顿定理

    相关阅读

    热销商品

    加厚abs安全帽电工建筑工地程施工领导监理透气防砸头盔可印字V型

    这款加厚ABS安全帽专为电工、建筑工地施工人员、领导及监理设计,采用高强度ABS工程塑料,抗冲击、防砸性能优异,有效保障头部安全。帽体加厚设计,增强耐用性与防护等级...
    5.8

    水口钳高硬度模型剪钳电子钳工业级口水剪斜嘴钳偏口斜口专用钳子

    水口钳高硬度模型剪钳是一款工业级精密工具,专为电子、模型制作及精细作业设计。采用优质高碳钢材质,经热处理工艺打造,具备卓越的硬度和耐磨性,可轻松剪切金属引脚、...
    4.8

    170电子剪钳II 如意斜口钳 工业斜嘴钳水口钳 模型剪塑胶钳尖嘴钳

    170电子剪钳II如意斜口钳是一款专业级精密工具,集工业斜嘴钳、水口钳、模型剪、塑胶钳与尖嘴钳功能于一体,适用于电子维修、模型制作、手工艺及精密作业。其采用优...
    4.5

    安全帽国标工地加厚施工领导透气安全头盔建筑工程监理免费印字

    本款安全帽严格遵循国家GB 2811-2019标准,专为建筑工程、工地施工及监理人员设计。采用高强度ABS工程塑料,加厚壳体有效抗冲击,保障头部安全。帽体轻盈透气,内置可调...
    10

    包邮三角型简易螺丝刀三角十字螺丝刀螺丝批改锥起子五金工具5mm

    这款5mm三角型简易螺丝刀,专为拧紧或拆卸三角形螺丝设计,适用于电子维修、家电维护及精密仪器装配等场景。采用优质合金钢材质,刀头硬度高、耐磨损,确保长久使用不变...
    3.64

    网站栏目