用TTL门构成的施密特触发器
时间:2023-03-13来源:佚名
|
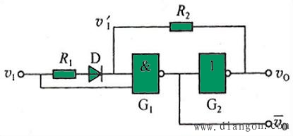
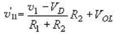
图1所示为用两个TTL门构成的施密特触发器电路。图中 G1为与非门,G2为反相器,vⅠ通过电阻R1和R2来控制门的状态。因为R1R2值不能取很大,因此串接二极管D,防止vO=VOH时,G2的负载电流过大。
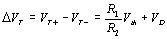
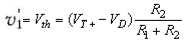
当输入vⅠ逐步下降时,只要vⅠ≤Vth,门G1将由导通转为截止,vO=VOH;门G2由截止转为导通,vO=VOL,触发器再次发生翻转,此时vⅠ为下限触发电平VT-=Vth,因此,电路的回差电压
|










