复杂一阶电路求解

时间:2023-03-13来源:佚名

当电路中含有一个储能元件电感L(或电容C),而其他部分可构成有源一端口网络。利用三要素法求解一阶电路全响应时,须在之前进行电路等效变换。
  解题思路:

  1.利用戴维宁定理或诺顿定理求出有源一端口等效电路(即Req、Uoc);
  2.串接上电感L或电容C,在等效的简单一阶电路中求解储能元件上的电流或电压;
  3.若还需求其他元件的电压、电流,则需在等效变换前的原电路中进行求解。
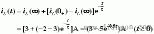
  例1. 图示电路中已达稳态,试求S闭合后电路中电流 iL和i 。

复杂一阶电路求解
  解:(1)先移去电感支路,对a、b一端口求戴维宁等效电路
  1)开路电压:复杂一阶电路求解
  2)等效电阻: 复杂一阶电路求解
  (2)画出等效电路求出三要素
  复杂一阶电路求解
  复杂一阶电路求解
  (3)用三要素法求解iL
  复杂一阶电路求解
  (4)由原电路图求出i
  复杂一阶电路求解
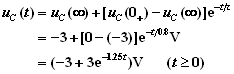
  例2. 已知电容原未充电(已达稳态),求开关S闭合后uC(t)。
  复杂一阶电路求解
  解: (1)先移去电容,求一端口a、b的戴维宁等效电路。
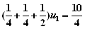
  ①求开路电压uoc (利用节点法) :
  对节点a列KCL方程:复杂一阶电路求解
  复杂一阶电路求解 
  解得:
    复杂一阶电路求解
    复杂一阶电路求解
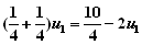
  ②求等效电阻Req(先求出短路电流isc):
  对节点a列KCL方程:复杂一阶电路求解
  解得:复杂一阶电路求解
  复杂一阶电路求解
  对节点b列KCL方程:复杂一阶电路求解
  所以:复杂一阶电路求解
     复杂一阶电路求解 复杂一阶电路求解
  (2)画出等效电路利用三要素法求解uC(t) 。

复杂一阶电路求解
电容电压uC(t):复杂一阶电路求解

    相关阅读

    配电设备间距多少合适,配电设备间距安装要求

    有关配电设备间距的安装要求,配电设备间距多少才合适,配电设备间距应考虑哪些因素,配电室 低压配电装置正面通道宽度,室外变压器 与四壁应留有适当距离。 配电设备间距安装...
    2022-12-10

    电气设备过热怎么办?

    电气设备过热怎么办? 1、外部热故障 电气设备的外部热故障主要指裸露接头由于压接不良等原因,在大电流作用下,接头温度升高,接触电阻增大,恶性循环造成隐患。此类故障占外...
    2022-12-06
    电气设备过热怎么办?

    电流互感器实用技术问答30例

    1.电流互感器 铭牌上额定电流比的含义是什么? 答:额定电流比系指一次额定电流与二次额定电流之比。通常用不约分的分数表示。所谓额定电流就是在这个电流下互感器可以长期运行...
    2023-03-21

    交流电气装置的过电压限制器件

    一、阀式避雷器 (1)不同系统接地 方式下的选型要求: 1)低电阻接地系统应选用金属氧化物避雷器。 2)不接地、经消弧线圈接地和高电阻接地系统,根据系统中谐振过电压和间隙性...
    2023-03-14

    功率放大电路的分析计算

    一、功率放大电路的主要技术指标 双电源 互补对称式功率放大电路的主要技术指标: 1、输出功率P o 和输出效率η 设输入: 则输出: 输出功率: 电源提供平均功率: 转换效率: 当输...
    2023-03-14
    功率放大电路的分析计算

    热销商品

    加厚abs安全帽电工建筑工地程施工领导监理透气防砸头盔可印字V型

    这款加厚ABS安全帽专为电工、建筑工地施工人员、领导及监理设计,采用高强度ABS工程塑料,抗冲击、防砸性能优异,有效保障头部安全。帽体加厚设计,增强耐用性与防护等级...
    5.8

    水口钳高硬度模型剪钳电子钳工业级口水剪斜嘴钳偏口斜口专用钳子

    水口钳高硬度模型剪钳是一款工业级精密工具,专为电子、模型制作及精细作业设计。采用优质高碳钢材质,经热处理工艺打造,具备卓越的硬度和耐磨性,可轻松剪切金属引脚、...
    4.8

    170电子剪钳II 如意斜口钳 工业斜嘴钳水口钳 模型剪塑胶钳尖嘴钳

    170电子剪钳II如意斜口钳是一款专业级精密工具,集工业斜嘴钳、水口钳、模型剪、塑胶钳与尖嘴钳功能于一体,适用于电子维修、模型制作、手工艺及精密作业。其采用优...
    4.5

    安全帽国标工地加厚施工领导透气安全头盔建筑工程监理免费印字

    本款安全帽严格遵循国家GB 2811-2019标准,专为建筑工程、工地施工及监理人员设计。采用高强度ABS工程塑料,加厚壳体有效抗冲击,保障头部安全。帽体轻盈透气,内置可调...
    10

    包邮三角型简易螺丝刀三角十字螺丝刀螺丝批改锥起子五金工具5mm

    这款5mm三角型简易螺丝刀,专为拧紧或拆卸三角形螺丝设计,适用于电子维修、家电维护及精密仪器装配等场景。采用优质合金钢材质,刀头硬度高、耐磨损,确保长久使用不变...
    3.64

    网站栏目