什么是动态电路? 动态电路分析
时间:2023-03-13来源:佚名
|
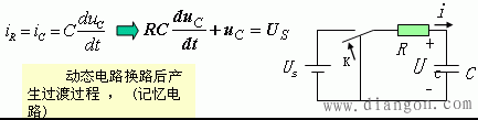
过渡过程:电路由一个稳态过渡到另一个稳态需要经历的过程。 2.动态电路与电阻电路的比较 动态电路:含储能元件L(M)、C。KCL、KVL方程仍为代数方程,而元件特性方程中含微分或积分形式。因此描述电路的方程为微分方程。 ![]() 电阻电路:电路中仅由电阻元件和电源元件构成。KCL、KVL和元件特性方程均为代数方程。因此描述电路的方程为代数方程。 ![]() 3.过渡过程产生的原因 (1)电路内部含有储能元件 L 、C—— (内因)能量的储存和释放都需要一定的时间来完成。 ![]() (2) 电路结构或电路参数发生变化——换路 (外因) ![]() 说明: 直流电路、交流电路都存在暂态过程,本章只分析讨论直流电路的暂态过程。 研究暂态过程的意义: 暂态过程是一种自然现象,对它的研究很重要。暂态过程的存在有利有弊。有利的方面,如电子技术中常用它来产生各种波形;不利的方面,如在暂态过程发生的瞬间,可能出现过压或过流,致使设备损坏,必须采取防范措施。 |












