发电机不对称短路分析

时间:2023-03-13来源:佚名
  • 用对称分量法分析同步发电机不对称短路是很方便的。不对称短路是不对称运行的特殊情况。电力系统遇到的故障短路通常是不对称短路,例如线对线短路或线对中点短路。

  • 故障短路将会出现很大的冲击电流,不过冲击电流的持续时间是很短暂的,这一过程属于瞬变过程。瞬变过程完毕后就进入稳态短路。本节只讨论稳态不对称短路问题。

  • 同步电机不对称短路的情况有多种。本节以两个典型的例子说明分析该类问题的方法。在下面所举的例子中假设短路发生在发电机机端,而且短路前发电机为空载运行。

发电机不对称短路分析

一、单线对中点短路

  • 设A相对中点短路。其端点方程式为:

发电机不对称短路分析

  • 对A相实施对对称分量法得:

发电机不对称短路分析

  • 根据各相的电流,求出各相序的电压为

发电机不对称短路分析

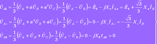
  • 由于A相对中点短路,故有

发电机不对称短路分析

发电机不对称短路分析

  • 由于负序电抗和零序电抗比正序电抗小得多,故单相短路电流比三相稳态短路电流大,其比值接近3 。

二、两相线对线短路

发电机不对称短路分析

  • 如图19.5所示,设A、B两相短路,其端点方程为

发电机不对称短路分析

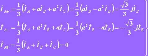
  • 对A相实施对称分量法得

发电机不对称短路分析

发电机不对称短路分析

  • 由于UA =UA-

发电机不对称短路分析

  • 两相线对线短路电流大约为三相短路电流的1.5倍。

    相关阅读

    三相异步电动机故障检测方法

    一,电动机 不能启动: 1, 电动机不转且没有声音:电源 或者绕组有两相或两相以上断路,首先检查电源是否有电压,如果三相电压平衡,那么故障在电动机本身,可检测电动机三相...
    2023-03-21

    电容器的放电基本原理

    电力电容器的基础功能便是电池充电与充放电,由这类基本上蓄电池充电功效所拓展出去的很多电源电路状况,促使电力电容器拥有诸多差异的主要用途,比如在电机马达中,大家用它...
    2023-03-31
    电容器的放电基本原理

    单控如何改双控、三控?这个不会还怎么干电工~

    【免费下载】 PLC软件下载_PLC软件安装教程_PLC手册下载_PLC案例下载! 【免费学习】 变频器精品课程_西门子PLC精品教程_三菱PLC精品教程! 有很多朋友的家里的开关是装成了单控的,也...
    2023-06-27

    维修电工真是垄断行业,几分钟时间就赚了200块,这也太好赚了吧!

    在日常生活中,我们总想着能自己动手解决一些小问题,既锻炼能力又能节省开支。然而,当这位业主决定亲自上阵,更换家中故障的漏电保护开关时,却意外地踏入了一场“省钱不成反...
    2024-09-29
    维修电工真是垄断行业,几分钟时间就赚了200块,这也太好赚了吧!

    电工常用万用表线路,非常详细!建议收藏!

    万用表是电工常用的测量仪表工具, 其内部由直流电流表、 电容、电阻、 二极管、 开关、 电池等组成。 图1(a) 所示是一种典型的袖珍式万用表线路。 它有直流电流测量挡、 交直...
    2023-07-05
    电工常用万用表线路,非常详细!建议收藏!

    热销商品

    加厚abs安全帽电工建筑工地程施工领导监理透气防砸头盔可印字V型

    这款加厚ABS安全帽专为电工、建筑工地施工人员、领导及监理设计,采用高强度ABS工程塑料,抗冲击、防砸性能优异,有效保障头部安全。帽体加厚设计,增强耐用性与防护等级...
    5.8

    水口钳高硬度模型剪钳电子钳工业级口水剪斜嘴钳偏口斜口专用钳子

    水口钳高硬度模型剪钳是一款工业级精密工具,专为电子、模型制作及精细作业设计。采用优质高碳钢材质,经热处理工艺打造,具备卓越的硬度和耐磨性,可轻松剪切金属引脚、...
    4.8

    170电子剪钳II 如意斜口钳 工业斜嘴钳水口钳 模型剪塑胶钳尖嘴钳

    170电子剪钳II如意斜口钳是一款专业级精密工具,集工业斜嘴钳、水口钳、模型剪、塑胶钳与尖嘴钳功能于一体,适用于电子维修、模型制作、手工艺及精密作业。其采用优...
    4.5

    安全帽国标工地加厚施工领导透气安全头盔建筑工程监理免费印字

    本款安全帽严格遵循国家GB 2811-2019标准,专为建筑工程、工地施工及监理人员设计。采用高强度ABS工程塑料,加厚壳体有效抗冲击,保障头部安全。帽体轻盈透气,内置可调...
    10

    包邮三角型简易螺丝刀三角十字螺丝刀螺丝批改锥起子五金工具5mm

    这款5mm三角型简易螺丝刀,专为拧紧或拆卸三角形螺丝设计,适用于电子维修、家电维护及精密仪器装配等场景。采用优质合金钢材质,刀头硬度高、耐磨损,确保长久使用不变...
    3.64

    网站栏目