|

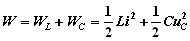
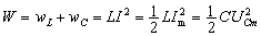
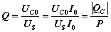
1.电路阻抗Z最小,且为纯电阻,即Z=R。 谐振时 谐振时,阻抗的虚部为零值,阻抗角为零。  2.电路中的电流I达到最大值(US一定),且与电源电压同相位。 电路发生串联谐振时的电流称为谐振电流,用 I0 表示。 当电源电压一定时: 可根据RLC串联电路的电流是否达到最大来判断电路是否发生了串联谐振。 3.L、C上电压大小相等,方向相反,相互抵消。  则: 因此串联谐振又称电压谐振。 谐振时电感和电容两端的等效阻抗为0,相当于短路。  4.电阻上的电压等于电源电压,达到最大值。  5.功率问题 (1)有功功率为 电源发出的功率就是电路电阻消耗的功率,且功率最大。 (2)功率因数 (3)无功功率为 谐振时,电路不从外部吸收无功功率,但电路内部的电感与电容之间周期性地进行磁场能量与电场能量的交换。 (4)电路的复功率: 6.能量问题 电容和电感上的总能量为 谐振时,设:  则:  串联谐振时的电磁场能量    谐振时,电感电容储能的总值与品质因数的关系:    品质因数Q是反映谐振回路中电磁振荡程度的量。 谐振时,电感、电容无功功率与电路有功功率关系:  谐振时,电感或电容中的无功功率与电路有功功率比值即为品质因数。 |