1.换路:电路结构或参数变化引起的电路状态的改变。
(1)通常认为换路在 t = 0时刻进行;
(2)换路前瞬间称t = 0-;
(3)换路后瞬间称t = 0 ;
(4)换路所经过时间为0-到0 。
2.换路定则
在换路瞬间,电容上的电压、电感中的电流不能突变。
则:

条件:须使电路在换路瞬间电容电流、电感电压为有限值。
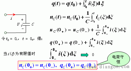
3.换路定则的推导
(1)对于线性电容

结论:换路瞬间,若电容电流保持为有限值时,则电容电压(电荷)换路前后保持不变。

(2)对于线性电感
结论:换路瞬间,若电感电压保持为有限值时,则电感电流(磁链)换路前后保持不变。