电容式传感器的工作原理及类型
时间:2023-03-13来源:佚名
|
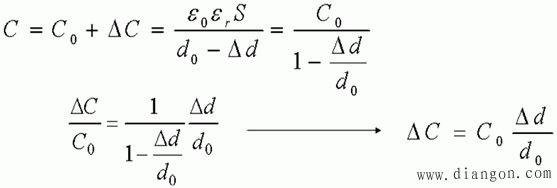
电容式传感器是将被测量(如尺寸、压力等)的变化转换成电容量变化的--种传感器。 1.工作原理 由物理学可知,两个平行金属极板组成的电容器,如果不考虑其边缘效应,其电容为 C=(s/d 式中 ε--两个极板间介质的介电常数; s--两个极板相对有效面积; d--两个极板间的距离 由上式可知,改变电容C的方法有三种,其一为改变介质的介电常数ε;其二为改变形成电容的有效面积;其三为改变两个极板间的距离。而得到电参数的输出为电容值的增量ΔC,这就成了电容式传感器。 2.类型 根据上述原理,在应用中电容式传感器可以有三种基本类型,即变极距(或称变间隙)型、变面积型和变介电常数型。它们的电极形状有平板形、圆柱形和球平面形三种。 a)极距d变化型
d0小,
一般C0=20~100pF,d0=25~200μm, b)面积变化型
c)介质变化型
|


大。但d


微位移测量 







