TTL门电路组成的电容正反馈多谐振荡器结构和原理及振荡周期的计算
时间:2023-03-13来源:佚名
|
1、TTL门电路组成的电容正反馈多谐振荡器结构和原理
由TTL门电路组成的电容正反馈多谐振荡器基本电路如图1所示。它是两级TTL与非门由电容C 构成正反馈的电路。 在多谐振荡器工作过程中,主要依靠电容C 的充、放电,引起d 点电位vd的变化。当vd达到TTL门阈值电压Vth时,引起与非门状态的翻转。假设某时刻由于电容C 的充电,使vd逐渐上升,当vd上升至vd≥Vth时,与非门G1将由关态变为开态,使输出va由高电平下跳至低电平,与非门G2由开态变为关态,输出vb由低电平上跳至高电平。由于电容C 端电压不能突变,使d点电位vd也随vb的上跳而上跳,维持与非门G1处于开态,与非门G2处于关态,如图1(b)中t1时刻所示。以后电容C 放电,放电的等效电路如图2(a)所示。 ![]() 图1 电容正反馈多谐振荡器
![]() 图2 电容C 充、放电等效电路
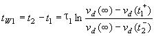
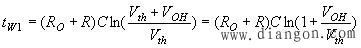
随着电容C 的放电,vd电位逐渐下降。在vd下降至Vth之前,这段时间称为暂态Ⅰ,其工作波形如图2(b)中t1~t2期间的波形所示。 当vd随C 放电下降至阈值电压Vth时,即vd≤Vth时,与非门G1由开态变为关态,输出va由低电平上跳至高电平,使与非门G2由关态变为开态,输出va由高电平下跳至低电平。电路又一次自动翻转,如图1(b)中t2时刻所示。由于有电容C,vd随vb的下跳而下跳,维持与非门G1关态,与非门G2开态。 当与非门G1处于关态,与非门G2处于开态后,电容C充电,其等效电路如图2(b)所示。随着C充电,vd点电位逐渐上升,在vd上升至Vth之前,这段时间称为暂态Ⅱ,其波形如图1(b)中t2~t3期间的波形所示。 当vd上升至Vth时,与非门G1又由关态变为开态,与非门G2由开态变为关态,进入暂态Ⅰ。以后不断重复上述过程,从而形成周期振荡,在输出端就获得矩形波vb。 2、振荡周期的计算 1. 暂稳态Ⅰ持续时间tW1的计算 由图1(b)可见,在t1-时刻,与非门G1处于关态,与非门G2处于开态,以后电路发生翻转,在t1 时刻,与非门G1处于开态,与非门G2处于关态,进入暂态Ⅰ。电容C 放电,等效电路如图2 (a)所示。由图1(b)和图2(a)可得暂态Ⅰ的持续时间为
其中τ1=(Ro R)C vd(∞)=va=0.3V≈0V vd(t2-)=Vth=1.4V vd(t1 )=Vth ΔV ΔV=ΔVb≈VOH-VOL≈VOH将上述结果代入
得到
2. 暂稳态Ⅱ持续时间tW2的计算
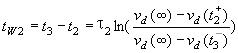
在t2-时刻,与非门G1处于开态,与非门G2处于关态,在t2 时刻,电路发生了翻转,与非门G1处于关态,与非门G2处于开态,进入暂态Ⅱ。电容C充电,等效电路如图2(b)所示。如图1(b)和图2(b),可得暂态Ⅱ持续时间
其中τ2=[(R Ro)∥R1]C vd(∞)=va=VOH=3.6V vd(t3-)=Vth=1.4V vd(t2 )=Vth ΔV
ΔV=vb(t2 )-vb(t2-)=VOL-VOH =-VOH 将上述结果代入上式
得到
3. 振荡周期 T=tW1 tW2
假设图1(a)中,R=1kΩ,RO=100Ω,R1=4kΩ,C=1000pF,则
振荡周期 T=tW1 tW2=2.18μs 。 |
















