开关树型(D/A)转换器电路结构及工作原理
时间:2023-03-13来源:佚名
|
1、电路结构
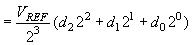
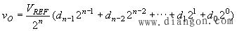
开关树型D/A转换器电路由电阻分压器和接成树状的开关网络组成。图1是输入为3位二进制数码的开关树型D/A转换器电路结构图。图中这些开关的状态分别受3位输入代码状态的控制。 ![]() 图1 开关树型D/A转换器 2、工作原理 当d2=1时S21接通而S20断开;当d2=0时S20接通而S21断开。同理,S11和S10两组开关的状态由d1的状态控制,S01和S00两组开关由d0的状态控制。由图可知 ![]() 对于输入为n位二进制数的D/A转换器则有 ![]() 3、优缺点 1.电阻种类单一,有利于提高转换速度。 2.输出端不取电流,对开关的导通内阻要求不高。 3.速度快。 4.缺点是转换位数增加时,电阻开关器件的数量呈2n增加。 |











