物理表达式
时间:2023-03-13来源:佚名
|
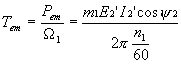
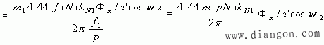
电磁功率是主磁通与转子电流有功分量相互作用产生的。从电磁功率与电磁转矩的关系推导: 式中,是转子功率因数角;CT为转矩常数,对已制成的电机来说是不变的常数。 式(ZJ.12)描述了电磁转矩与主磁通和转子有功电流的乘积成正比的关系。只有两者的相互作用,才能产生电磁转矩。用电流表示的电磁转矩公式称为转矩的基本表达式或物理表达式。 该式物理意义明确,并且表示方式简单,因而常用来分析和解释问题。但在实际中,测量主磁通和转子有功电流均有一定的困难,所以物理表达式一般多用于定性的分析。 |

(1)







