怎样根据电流互感器二次阻抗正确选择二次接线的截面积?
时间:2023-03-13来源:佚名
|
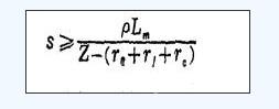
可根据下式计算进行选择
Lm——连接导线的计算长度m,单机接线Lm=2L,星形接线Lm=L,不完全星形接线Lm=√3 ρ——导线电阻率Ωmm2/m Z——对应于电流互感器准确等级的二次负荷额定阻抗,可从铭牌查出。 rq——为仪表电流线圈的总阻抗Ω rj——为继电器电流线圈的总阻抗Ω |
|
可根据下式计算进行选择
Lm——连接导线的计算长度m,单机接线Lm=2L,星形接线Lm=L,不完全星形接线Lm=√3 ρ——导线电阻率Ωmm2/m Z——对应于电流互感器准确等级的二次负荷额定阻抗,可从铭牌查出。 rq——为仪表电流线圈的总阻抗Ω rj——为继电器电流线圈的总阻抗Ω |








