一阶电路的三要素法
时间:2023-03-13来源:佚名
|
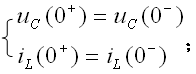
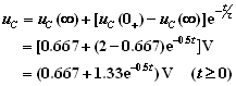
上式可写成: 式中f(t)分代表一阶电路中任一电压、电流函数。 结论 根据三要素,可直接写出一阶电路在直流激励下的全响应,这种方法称为三要素法。适用范围:激励为直流和正弦交流。 三要素法求解暂态过程要点: (1)分别求初始值、稳态值、时间常数; (2)将以上结果代入暂态过程通用表达式; (3)画出暂态过程曲线(由初始值→稳态值)。 (电压、电流随时间变化的关系) ![]() 1.初始值的计算 步骤: (1)求换路前的 ![]() (2)根据换路定则得出: ![]() (3)根据换路后的等效电路,求其它的 或 ![]() 2.稳态值 的计算步骤:(1)画出换路后的等效电路 (注意:在直流激励的情况下,稳态时令C开路,L短路); (2)根据电路的解题规律,求换路后所求未知数的稳态值。 注: 在交流电源激励的情况下,要用相量法来求解。 求稳态值举例 ![]() 3.时间常数的计算 原则:要由换路后的电路结构和参数计算。(同一电路中各物理量的是一样的) 步骤:(1)对于只含一个R和C的简单电路,对于较复杂的一阶RC电路,将C以外的电路,视为有源二端网络,然后求其等效内阻 R'。则: ![]() (2)对于只含一个L 的电路,将 L 以外的电 路,视为有源二端网络,然后求其等效内阻R'。则: ![]() RC 电路τ的计算举例 例9. |





或 
的计算














