导体电动势
时间:2023-03-13来源:佚名
|
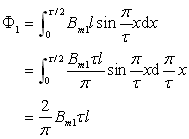
设转子磁极产生的磁场沿圆周正弦分布,即 电机的每极磁通量
图1 磁通密度的分布和每极磁通量 则导体感应电动势的有效值 由此可见,导体电动势的有效值与每极磁通量和频率乘积成正比。当磁通的单位为Wb,频率的单位为Hz时,电动势的单位为V。 |
|
设转子磁极产生的磁场沿圆周正弦分布,即 电机的每极磁通量
图1 磁通密度的分布和每极磁通量 则导体感应电动势的有效值 由此可见,导体电动势的有效值与每极磁通量和频率乘积成正比。当磁通的单位为Wb,频率的单位为Hz时,电动势的单位为V。 |







