转子不转、转子绕组开路时的电磁关系
|
正常情况下,电机转子总是旋转的,但是为了分析问题的方便,在这里我们首先从转子静止出发进行分析。 正方向的规定:
图1 异步电机正方向的规定 1.磁动势与磁通 (1)励磁磁动势:我们给异步电动机通入对称的三相交流电时,根据我们前面所学的可知将会在气隙中会产生一个旋转的气隙磁场,这个旋转的磁场会同时切割定转子绕组,这样,在两个绕组内会产生相应的感应电动势,但是由于转子绕组是开路的所以,没有电流,即没有磁动势,由此可见,在这种情况下,整个气隙磁场全部是由定子绕组内的三相对称电流产生,为此,定子磁动势又叫做励磁磁动势,定子电流亦叫做励磁电流。 旋转磁场的磁动势的特点: 1)幅值: 2)转向:逆时针转向。A1—B1—C1 3)转速:相对于定子绕组以角频率 4)瞬间位置:正如前面所分析的,当A相电流达到正最大 时,他所对应的磁动势也达到正最大。 (2)主磁通和漏磁通 主磁通:同时交链定子、转子、气隙构成闭和回路的磁通,气隙里每极主磁通量用Φ1 表示。 磁路包括:定子铁心—气隙—转子铁心—气隙—定子铁心 漏磁通:只交链定子绕组就形成闭和回路,叫定子漏磁通,用Φ1σ表示。 漏磁通按其路径分为三部分: ① 槽漏磁:横穿定子槽壁的漏磁通; ② 端部漏磁:定子绕组端部产生的漏磁通; ③ 谐波漏磁或称差漏磁:气隙总磁通减去基波磁通后所 剩下的谐波磁通,所以又称差漏磁。
图2 异步电机端部漏磁 2.感应电动势 旋转磁场同时切割定转子绕组,在定转子绕组内将会产生感应电动势E1、E2:
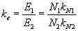
定子、转子每相电动势之比叫电压变化,用ke表示,即:
3.励磁电流: 和前面分析变压器的情况是一样的,励磁电流也是由IFe和Iμ两分量组成。
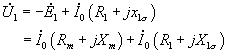
4.电动势平衡关系 定子绕组的漏磁通在定子绕组内也会产生一个电动势,称之为定子漏电动势,用 电压方程式为:
5.等效电路 与三相变压器空载时一样,异步电动机也能找出并联或串联的等值电路。知:
图3 异步电机空载时的等效电路 |


(1)
(2)
(3)
(4)
表示,
(5)
(6)
(7)









