变压器空载运行的磁通和感应电动势
|
1.空载运行:是指变压器一次侧绕组接到额定电压、额定频率的电源上,二次侧绕组开路时的运行状态。 2.物理现象: 磁动势和磁通的情况:
主磁通和漏磁通的区别: 1)由于铁磁材料有饱和现象,所以主磁路的磁阻不是常数,主磁通与建立它的电流之间呈非线性关系。而漏磁通的磁路大部分是非铁磁材料组成,所以漏磁路的磁阻基本上是常数,漏磁通与产生它的电流呈线性关系。 2)主磁通在一次侧、二次侧绕组中均感应电动势,当二次侧接上负载时便有电功率向负载输出,故主磁通起传递能量的作用。而漏磁通仅在一次侧绕组中感应电动势,不能传递能量,仅起压降作用。因此,在分析变压器和交流电机时常将主磁通和漏磁通分开处理。 3. 正方向的规定 为什么要规定正方向? (1) 根据电路的定律、定理,列出物理量间相互关系的代数表达式; (2) 根据计算结果确定实际方向: 若计算结果为正,则实际方向与参考方向一致; 若计算结果为负,则实际方向与参考方向相反。 从理论上讲,正方向可以任意选择,因各物理量的变化规律是一定的,并不依正方向的选择不同而改变。 正方向规定不同,列出的电磁方程式和绘制的相量图也不同。在电机方向的学科中通常按电工惯例来规定正方向。 在负载支路,电流的正方向与电压降的正方向一致,而在电源支路,电流的正方向与电动势的正方向一致; 磁通的正方向与产生它的电流的正方向符合右手螺旋定则; 感应电动势的正方向与产生它的磁通的正方向符合右手螺旋定则; 在一次侧,u1由首端指向末端,i1(i0)从首端流入。当u1与i1同时为正或同时为负时,表示电功率从一次侧输入,称为电动机惯例。在二次侧,u2和i2的正方向是由e2的正方向决定的,即i2沿e2的正方向流出。当u2和i2同时为正或同时为负时,电功率从二次侧输出,称为发电机惯例。
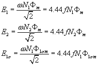
图 3.1 变压器的空载运行 4、空载时的电磁关系 1)电动势与磁通的关系: 假定主磁通按正弦规律变化,即 Φ=Φmsinωt 根据电磁感应定律和对正方向规定,一、二次绕组中感应电动势的瞬时值为 :
式中: |


(1)
(2)
(3)








