三相变压器的不对称运行对称分量法(以电流为例)
时间:2023-03-13来源:佚名
|
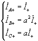
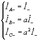
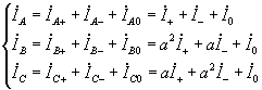
1.定义:实际上是一种线性变换,它是把一组三相不对称的正弦量分解成三组互为独立的三相对称的正弦量,它们分别是: ①零序分量:三相对称的正弦量,大小相等,相位相同,即 ②正序分量:三相对称的正弦量,大小相等,相位互差120°,相序为
式中: ③零序分量:三相对称的正弦量,大小相等,相位互差120°,相序为
2.分解公式:
|
|
1.定义:实际上是一种线性变换,它是把一组三相不对称的正弦量分解成三组互为独立的三相对称的正弦量,它们分别是: ①零序分量:三相对称的正弦量,大小相等,相位相同,即 ②正序分量:三相对称的正弦量,大小相等,相位互差120°,相序为
式中: ③零序分量:三相对称的正弦量,大小相等,相位互差120°,相序为
2.分解公式:
|





