经典的换向理论
|
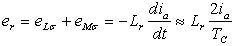
换向元件中的电势 设电刷宽度等于换向片宽度,电刷不动,换向器从右向左运动,当电刷与换向片1接触时,元件1属于右边一条支路,电流为 但实际在换向过程中。换向元件中会出现下列两种电势,这些电势会影响电流的变化。 1.电抗电势 换向元件本身是一个线圈,所以当元件中电流从
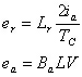
式中 根据楞次定律,电抗电势的作用总是阻碍电流变化的,因电流在减小,所以其方向必与 2.运动电势 我们知道换向元件的有效边处于两极之间的几何中线位置,(固电刷放在磁极轴线下的换向片上),那里由主极产生的磁密几乎为零。但由电枢反应磁势产生的磁密不为零。换向元件切割此磁密产生运动电势。
根据右手定则判定换向元件中旋转电势的方向与换向前元件中电流方向一致。因而Ea 总是阻碍换向元件中电流的变化。 换向元件中电流变化规律 因上述两种电势 为了改善换向,在电机几何中性线处装有换向极,换向极磁场的方向与电枢磁场方向相反,其强度比电枢磁场稍强,所以此时总的运动电势 下面分三种情况对换向电流进行分析 1.直线换向 当
(a)换向元件 (b)直线换向和延迟换向 (c)超越换向 图1 换向元件中电流的变化
2.延迟换向 3.超越换向 如 |
,当电刷与1、2换向片接触时,元件1被短路,当电刷与换向片2接触时,元件1进入左边一条支路,电流为
表示。如换向元件中电势为零时是直线换向,即电流Ia 均匀的由 

为换向元件等效漏电感,包括自感互感。
(1)
与
与
时为直线换向,电流均匀的由 
,换向元件中合成电势
倾向于保持换向前电流方向,所产生的附加电流为
,使换向元件中电流由
组成,使换向元件中电流改变方向的时刻向后推移,所以称延迟换向。
,则换向极磁势过强,换向元件中合成电势








