电磁转矩的实用表达式
时间:2023-03-13来源:佚名
|
在工业企业单位中一般希望用手册或产品铭牌上所给的数据而不用电机的参数而来计算转矩特性曲线Tem=f(s),这样的计算可以采用电磁转矩的实用表达式。 令
把式(1)代入式(2),得:
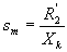
而把s=sm代入式(3)可得Tmax,即:
式(3)与式(4)相比,得电磁转矩的实用表达式,即:
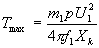
在电机手册中往往给出额定功率PN,额定转速nN和过载倍数kM。可以根据这三个数据采用转矩的实用表达式作出转矩特性曲线Tem=f(s),或进行转矩计算。具体步骤为: (1)根据电机手册计算出TN; (2)由kM算出Tmax; (3)由kM、sN及公式(5)可以求smax; (4)求出后又可代入(5),反过来求取任何时刻的Tem。 此表达式主要用于求电机的机械特性曲线。 不过电磁转矩的三种表达式均未考虑电机参数实际上并非常数的事实,所以使用时还需注意。由于在起动时转子电阻和电抗的集肤效应,以及定、转子电抗与漏磁通饱和程度有关,而这两种因素都与电机的转差率s有关,所以电机参数在转差率s不同时应采用不同的值。 |
,且忽略电阻R1,则式可写成:
(1)
(2)
(3)
(4)
(5)







