复合逻辑运算由基本逻辑运算组合而成,如与非、或非、同或、异或等。 1、与非逻辑 与非逻辑是与逻辑运算和非逻辑运算的复合,将输入变量先进行与运算,然后再进行非运算。 逻辑表达式 :
真值表:与非逻辑真值表如表1所示。 逻辑符号:与非运算的逻辑符号如图1所示。
语句描述:只要输入变量中有一个为0,输出就为1。只有输入变量全部为1时,输出才为0,这种运算关系称为与非运算。 2、或非逻辑 或非逻辑是或逻辑运算和非逻辑运算的复合,将输入变量先进行或运算,然后再进行非运算。 逻辑表达式:
真值表:或非运算的真值表如表2所示。 逻辑符号:或非运算逻辑符号如图2所示
语句描述:只要输入变量中有一个为1,输出就为0。或者说,只有输入变量全部为0时,输出才为1,这种运算关系称为或非运算。 3、与或非逻辑 与或非逻辑是与逻辑运算和或非逻辑运算的复合。它是先将输入变量A、B及C、D分别进行与运算。然后再进行或非运算。 逻辑表达式:
真值表:与或非运算的真值表如表3所示。
 表3输入变量与或非逻辑真值表
4、 同或逻辑和异或逻辑 同或逻辑和异或逻辑是只有两个输入变量的函数。 1.同或运算: 当两个输入变量A和B值取值相同时,输出P才为1,否则P为0,这种逻辑关系称为同或运算。 逻辑表达式:
“⊙”符号是同或运算符号。 真值表:同或运算真值表如表4所示。 逻辑符号:其逻辑符号如图3所示。
2.异或运算: 只有当两个输入变量A和B的取值不同时,输出P才为1,否则P为0,这种逻辑关系称为异或运算。 逻辑表达式:
“⊕”是异或运算符号。 真值表:异或运算真值表如表5所示。 逻辑符号:其逻辑符号如图4所示。
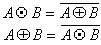
3.小结 由上分析可见,同或与异或逻辑正好相反,有时又将同或逻辑称为异或非逻辑。因此
对于两变量来说,两变量的原变量相同,则取非后两变量的反变量也相同;若两变量的原变量相异,则取非后两变量的反变量必相异。因此,由同或逻辑和异或逻辑的定义可以得到
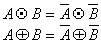
另外,若变量A和变量B相同,则A必与B相异;若变量A和变量B相异,则A与B相同。因此又有:
|
|
|
|
|
|
|
(a)与非逻辑 |
(b)或非逻辑 |
(c)与或非逻辑 |
(d)异或逻辑 |
(e)同或逻辑 |
|