三角波发生器
时间:2023-03-13来源:佚名
|
三角波发生器的电路如图1 所示。它是由滞回比较器和积分器闭环组合而成的。积分器的输出反馈给滞回比较器,作为滞回比较器的。
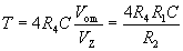
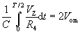
在vO1=-Vz后,电容C开始放电,vO按线性上升,当使A1的Vp略大于零时,vO1 从-Vz跳变为 Vz,如此周而复始,产生振荡。vO的上升、下降时间相等,斜率绝对值也相等,故vO为三角波。 输出峰值Vom: ![]() 振荡周期: ; |
|
三角波发生器的电路如图1 所示。它是由滞回比较器和积分器闭环组合而成的。积分器的输出反馈给滞回比较器,作为滞回比较器的。
在vO1=-Vz后,电容C开始放电,vO按线性上升,当使A1的Vp略大于零时,vO1 从-Vz跳变为 Vz,如此周而复始,产生振荡。vO的上升、下降时间相等,斜率绝对值也相等,故vO为三角波。 输出峰值Vom: ![]() 振荡周期: ; |







