过程校验仪温度测量及输出的工作原理
|
过程校验仪都使用微处理器,输出和输入采用DAC和ADC技术,具有较高的精度和百万分之一的分辨率。校验仪没有电位器等可调元件,而是采用面板校准技术,由微处理器在规定的时间,自动进行内部校准以消除各种影响,并能溯源至上一级标准。VC系列的工作原理如下: (1)过程校验仪温度测量及输出的工作原理 校验仪用在温度测量及输出时,其原理是按照热电偶、热电阻的分度表,输出或者测量一个相应的mV或Ω信号, 再根据分度表转换为相应的温度进行显示,VC14的工作原理如图1所示。
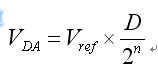
图1 VC14工作原理方框图 ① 电压和热电偶输出时的工作原理 用于电压和热电偶输出时,可通过面板的“INPUT/OUTPUT”和“FUN”功能键选择电压或热电偶输出功能,微处理器控制开关S1使公共端C与V接通,这时DAC的参考输入为Vref。由于DAC输出VDA与参考输入Vref的关系为:
(n=20, D为数字输入码,从0〜2n),所以:
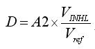
这时可通过面板设定的输出值由微处理器转换为D值,使仪表输出改变,由于D值范围为0〜220,所以仪表输出VHL范围为0〜A1×Vref,分辨率为③1/220。A1值通过操作面板的“RANG”键改变,可使仪表输出不同量程的信号。 ② 测量电压和热电偶的工作原理 用于测量电压和热电偶时,可通过面板的“INPUT/OUTPUT”和“FUN”键选定输入电压测量,微处理器控制S2,打向V端,此时ADC转换值:
通过“RAGE”键由微处理器调整A2放大倍数,使V1NHL从0到满量程变化时D按0〜220变化,转换后的D值经微处理器运算变为相应的显示值送LCD进行显示。 在模拟和测量热电偶时,仪表具有冷端温度自动补偿功能,微处理器每隔10秒钟控制S3使C与R接通,机内温度传感器的输出送入ADC转换为相应的数值,此数值送入微处理器可对当前的温度输出值或温度测量值进行修正。 ③ 电阻和热电阻输出时的工作原理 过程校验仪的电阻输出有别于传统的电阻箱,它采用了虚拟电阻的形式,所以要求校验仪的外部要有激励电流,其工作原理如下: 用于电阻和热电阻输出时,可通过面板的“FUN”功能键选择电阻或热电阻输出功能,微处理器控制开关S1使公共端C与Ω端接通,此时仪表外部必须有一个激励电流I,DAC的参考输入Vref = I×Rref ,代入式(6-1),则:
所以输出HL两端的电阻:
电阻输出的范围为0〜A1×Rref, A1值由操作面板的“RAGE”键改变,使仪表输出不同量程的信号。 ④ 测量电阻和热电阻的工作原理 用于测量电阻和热电阻时,微处理器控制S2打向Ω端。此时如在输入端子HL之间接一个被测电阻Rx,则:
调整A2放大倍数,使Rx从0到满量程变化时D按0〜2n变化。转换后的D值经微处理器变为相应的显示值送LCD进行显示。 |


(1)

(2)






