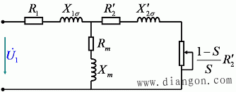
异步电动机等效电路
|
1.T形等效电路 经过折算以后,异步电机运行时的基本方程式,即式(YX.28),与变压器的基本方程式在结构上完全一样,所不同的只是:在异步电机中负载是一个纯电阻
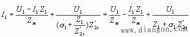
图1 异步电机的“T”形等效电路 从等效电路图可简单分析,异步电机转子堵转时, 异步电机可以看成是一台广义的变压器,它不仅可以用来变换电压、电流、频率、相位和相数,更重要的是它可以实现机电能量转换。等效电路中的纯电阻 2.准确Γ形等效电路 T形等效电路是串并联复合电路,复数运算比较麻烦。若能象变压器一样将其中的激磁支路移到电源端变成Γ形等效电路,分析计算即可简化。但在变压器中,由于Zm很大,Im和Z1σ都很小,把激磁支路直接移到电源端,不会引起过大的误差;而在异步电机中,由于气隙的存在,Zm较小,Im较大和Z1σ也比变压器的要大,把激磁支路直接移到电源端,将引起较大误差,特别是对励磁电流标么值较大的小型异步电机,更是不能满足计算的准确性要求。所以必须引入一个校正系数,对电路作一定的修改。现将电路转换关系推导如下: 在图YX.2中,令转子侧阻抗为:
而定子电流为:
代入定子侧电压平衡方程式得:
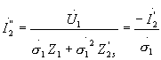
其中,
从上式可解出
式中
根据上列式子,可画出异步电机的准确Γ形等效电路,如图所示。 3.较准确Γ形等效电路 准确Γ形等效电路,由于
图2异步电机的准确Γ形等效电路
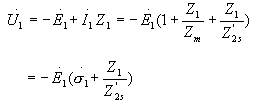
图3 异步电机的较准确Γ形等效电路 4.简化Γ形等效电路 一般异步电机
图4 异步电机的简化等效电路 |
;而在变压器中二次侧负载是一个阻抗ZL’(包括电阻和电抗)。因此,感应电机的运行情况、各物理量的相互关系相当于变压器在纯电阻负载时的情况。可以仿效变压器的方法画出异步电机的T形等效电路,如图1所示。
,相当于变1压器的短路运行状态。此时异步机的转子电流
只受到转子侧漏阻抗的限制,
>>
,
,所以转子侧功率因数cos
很低。而异步电机空载运行时:
,相当于开路运行状态。此时,转子电流
很低;但转子侧功率因数角
,cos
,此时无机械功率输出,而当电机旋转时,s≠1,
(1)
(2)
(3)
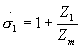
称为异步电机的校正系数,是一个复数,
。
(4)
(5)
,变为实数。用实数σ1代替复数

的数值在1.03~1.08范围内,并且电机容量愈大时σ1愈小。例如40kW以上的异步电动机σ1接近于1。因此,对中、大型电机和计算准确度要求不高的场合,可取支路的校正系数σ1=l,这时的Γ形等效电路称为简化Γ形等效电路,如图4所示。







