同步发电机投入并联的条件和方法
|
1.投入并联的条件 同步发电机并联投入电网时,为避免发生电磁冲击和机械冲击,总体要求就是发电机端各相电动势的瞬时值要与电网端对应相电压的瞬时值完全一致。具体分解开来包含以下五点: (1) 波形相同。 (2) 频率相同。 (3) 幅值相同。 (4) 相位相同。 (5) 相序相同。
图1 并联运行时的等效电路 前四点是交流电磁量恒等的基本条件,最后一点是多相系统相容的基本要求。 设电网端和发电机端分别用下标 1 和 2 区别。可以想象,若二者波形不同,如 u1为正弦波,而 e02非正弦,则并联后在电机与电网间势必要产生一系列高次谐波环流,波形相同了,若频率不等,即 f1≠f2,则相量U1和 E02 之间存在相对运动,且周而复始,从而产生差频环流,在电机内引起功率振荡。 频率和波形都一致了,但若是幅值或相位不相等,即U1≠ E02 ,也会在电机与电网间产生环流。特别地,若在极性相反,即相位相差 180°时合闸,则冲击电流可达(20~30)IN,从而产生巨大的电磁力,损坏定子绕组的端部,甚至于损坏转轴。 以上条件都满足了,若相序不同,合闸也是绝不允许的。因为仅一相符合条件,但是另两相之间巨大的电位差产生的巨大环流和机械冲击,将严重危害电机安全,毁坏电机。由于条件(1)和(5)是电机设计、制造和安装予以保证的,因此,在实际并联操作中,主要是注意条件(2)-(4)的满足。这其中,条件(2),即频率条件的满足又是最基本的。 如果发电机和电网的相序不同,则绝对不能投入并联运行 2.投入并联的方法 1.准确同步法 将发电机调整到完全符合并联条件后的合闸并网操作过程称为准确同步法。调整过程中,常用同步指示器来判断条件的满足情况。最简单的同步指示器由三组相灯组成,并有直接接法和交叉接法两种。 直接接法 即电机各相端与电网同相端对应,则每组灯上的电压 ΔU 相同。现假定发电机与电网的电压幅值相同,但频率不等,即 U2=U1,f2≠f1,将之用三相形式绘于同一相量图上,如图所示。由于发电机侧相量角频率 ω2=2πf2,电网侧相量角频率 ω1=2πf1,设 f2>f1,则U2相对于U1以角速度 ω2-ω1旋转。当U2与U1重合时,ΔU=0;而U2与U1反相时,ΔU=2U1,表明ΔU 以频率 f2-f1在(0~2)U1之间交变,即三组相灯以频率 f2-f1闪烁,同亮同暗。
图2 直接接法的电路图和相量图 综上可知,采用直接接法并网可按以下步骤进行:把要投入并联运行的发电机带动到接近同步转速,加上励磁并调节至端电压与电网电压相等。此时,若相序正确,则在发电机频率与电网频率相差时,三组相灯会同时亮、暗。调节发电机转速使灯光亮、暗的频率很低,并在三组灯全暗时刻,迅速合闸,完成并网操作。 并网的步骤: 1) 调节发电机的转速,使发电机的频率接近于电网频率(调整直流电动机的励磁,从指示灯的明暗变化快慢判断转速是否接近同步转速)。 2) 调节同步发电机的励磁,使发电机的电压等于电网的电压(从示零电压表或指示灯判断)。 3) 重复1)和2)。 4) 当指示灯熄灭,示零电压表读数为零,迅速合上并网开关,将发电机并联到电网上。 上述操作保证了合闸时刻 ΔU≈0,所以没有明显的电流冲击。但是,合闸前灯光毕竟仍在极缓慢地亮、暗变化,说明 f2和 f1还不是严格相等,也就是说,合闸后 ΔU 依然存在。然而,分析表明,正是由于 ΔU 的存在所产生的自整步作用,才使得电机最终能同步运行,并使 f2=f1的并联运行条件最终得以满足。具体说明如下。 设 f2>f1,则合闸后U2将超前U1,如下图(a)所示。显然,ΔU 产生环流。由于同步电抗远大于电阻,故环流 Ih滞后ΔU 大约 90°,亦滞后U2(用角度 图3 电机并联后的自整步作用 (2)灯光旋转法
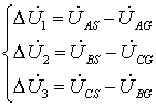
图4 交叉接法的电路图 频率不等时 即发电机和电网的角速度ωs, ωG不相等,其中,令UAs ,UBs ,UCs表示电网电压,UAG,UBG,UCG表示发电机电压。
图5 交叉接法各组灯亮度的变化 正因为我们所看到的是旋转的灯光因此叫做灯光旋转法。这显然不是我们所希望看到的,可以通过调整发电机的转速,以达到改变频率的目的 B、相序不同时:进行并网运行时,如果我们看到的是三个灯同时明暗,则可断定发电机和电网的相序肯定不同。因为我们采用的是交叉接法,如果相序是对的,应该是依次旋转的,而现象却是同时明暗,这就证明实际上是直接接法,这时只需调换发电机接到开关K上B、C两相的接法,就可以改正相序。 3)自整步(自同步)法 利用同步指示灯进行并联的方法,在现代的电厂中已不再采用,而代之以各种半自动或全自动的并车装置,不过它们的基本功能还是一致的。 合闸瞬间必须注意的是:励磁绕组必须通过一限流电阻短接起来; 因为励磁绕组如果开路,将在励磁绕组中感应出危险的高电压; 励磁绕组如果直接短路,将在定、转子绕组中产生很大的冲击电流。 自同步法的优缺点 优点:操作简单,能在紧急情况下将发电机迅速并入电网; 缺点:合闸时有冲击电流。 |


表示)。对发电机来说,这就等于是输出电功率,因此电机转轴上要承受制动性质的电磁转矩,使速度降低,直至严格同步运转,f2=f1,ΔU=0,Ih=0,并最终实现电机的并网空载运行。同理,可分析 f2













