在使用万用表测量交流电压或电流时,您是否对测量结果有过怀疑?当您对自己的电路十分确信时,你可能对万用表测量的准确性产生了怀疑,那么究竟是哪里出了问题呢?还是让我们来回顾一下万用表测量交流信号的数学计算公式吧。
1. 平均值与真有效值测量的异同:
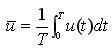
首先,了解一下平均值,数学上求电压平均值用下边的公式来表示:

其 中u(t)是信号的函数表达式,T为信号的周期。 如果我们要测量的是标准的正弦信号,那么用这种计算方法既准确又快捷。但是用来测量其他交流信号(如下式方波):

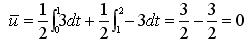
再利用式4对上式求平均值,设上述信号周期为 2 ,则

显然结果是不正确的。因此,得出结论用求平均值的方法来计算如方波、锯齿波等交流信号时可能会出现很大的误差。
那么,有没有一种能准确测量非正弦波之类的交流信号的方法呢?因此,引入了真有效值的计算方法。真有效值就是电流或电压在一个周期上的均方根,其数学计算公式如下:

其中Vrms表示电压的真有效值,u(t)是信号的函数表达式,T为信号的周期。 利用上述公式,先对信号的平方求积分,再开方。这种方法正确的计算出各种交流信号的有效值。因此,用真有效值的计算方法测量交流信号是准确的。在选用万用表时,一定要选用具有真有效值测量功能的万用表。
2. 由真有效值功能引申的AC DC真有效值:
在各种被测信号中,常常会有交流信号与直流信号的叠加信号,以往我们使用的万用表只能分别测量直流或者交流信号,无法测量直流信号与交流信号的叠加信号。那么,如何来准确地测量交直信号的叠加信号呢?
首先,要清楚的是直流信号与交流信号的叠加信号并不等同于交流信号的真有效值与直流信号大小简单相加。以直流信号u1(t)=1(v), 交流信号u2(t)=sint 为例,二者叠加后信号表示为:u(t)=1 2sint;
对其求真有效值结果为u(t)=1.732, 而不是1 1.414=2..414 。将直流信号与交流信号的叠加信号代入真有效值的计算公式得出

其中,AC DC表示叠加后信号的真有效值,DC表示直流信号的大小,ACrms表示交流信号的真有效值,这样就可以准确的计算直流信号与交流信号的叠加信号了。 AC DC 功能对叠峰功率的测试有很重要的意义。直流叠加的失真和谐波会引起变压器、发电机、发动机过热,也使断路器回路易跳闸,熔断保险丝等。在测量时不容忽视,因此选用具有 AC DC 真有效值测量功能的万用表是十分必要的(例如OI859CF手持万用表)。
总之,万用表是在直流电压表的基础上通过电路转换实现对交流电压、电流和电阻的测量的,采用真有效值计算的方法测量非正弦波交流信号更准确,这将有助于我们更好的进行研究与实验。