双积分式(A/D)转换器电路结构及工作原理
|
1.转换方式
V-T型间接转换ADC。 2. 电路结构
图1是这种转换器的原理电路,它由积分器(由集成运放A组成)、过零比较器(C)、时钟脉冲控制门(G)和计数器(FF0~FFn)等几部分组成。 ![]() 图1 双积分A/D转换器
(1)积分器 (2)过零比较器 (3)计数器和定时器 (4)时钟脉冲控制门
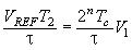
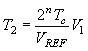
当t=t1时,S1转接到B点,具有与vI相反极性的基准电压-VREF加到积分器的输入端;积分器开始向相反方向进行第二次积分;当t=t2时,积分器输出电压v0≥0,比较器输出vC=0,时钟脉冲控制门G被关闭,计数停止。在此阶段结束时v0的表达式可写为 ![]() 设T2=t2-t1,于是有 设在此期间计数器所累计的时钟脉冲个数为λ,则 T2=λTc![]() 可见,T2与V1成正比,T2就是双积分A/D转换过程中的中间变量。 上式表明,在计数器中所得的数λ(λ=Qn-1···Q1Q0),与在取样时间T1内输入电压的平均值VI成正比的。只要VI<VREF,转换器就能正常地将输入模拟电压转换为数字量,并能从计数器读取转换的结果。如果取VREF=2nV,则λ=VI,计数器所计的数在数值上就等于被测电压。 由于双积分A/D转换器在取样时间内采的是输入电压的平均值,因此具有很强的抗工频干扰的能力。尤其对周期等于T1或几分之一的对称干扰(所谓对称干扰是指整个周期内平均值为零的干扰),从理论上来说,有无穷大的抑制能力。既使当工频干扰幅度大于被测直流信号,使得输入信号正负变化时,仍有良好的抑制能力。由于在工业系统中经常碰到的是工频(50Hz)或工频的倍频干扰,故通常选定采样时间T1总是等于工频电源周期的倍数,如20ms或40ms等。另一方面,由于在转换过程中,前后两次积分所采用的同一积分器,因此,在两次积分期间(一般在几十到数百毫秒之间),R、C和脉冲源等元器件参数的变化对转换精度的影响均可忽略。 最后必须指出,在第二积分阶段结束后,控制电路又使开关S2闭合,电容C放电,积分器回零。电路再次进入准备阶段,等待下一次转换开始。 4.特点 (1)计数脉冲个数λ与RC无关,可以减小由RC积分非线性带来的误差。 (2)对脉冲源CP要求不变,只要在T1+T2时间内稳定即可。 (3)转换精度高。 (4)转换速度慢,不适于高速应用场合。 单片集成双积分式A/D转换器有ADC-EK8B(8位,二进制码)、ADC-EK10B(10位,二进制码)、MC14433(7/2位,BCD码)等。 |

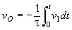
(其中τ=RC)










