三相绕组旋转磁动势的基波
|
当对称的三相绕组通以对称的三相交流电流时,其合成磁动势基波是一幅值恒定的圆形旋转磁动势,原则上m相对称绕组通以m相对称交流电流,其合成磁动势基波也是一圆形旋转磁动势,由于现代电力系统都是三相制,所以同步电机和感应电机通常也是三相的,因此,分析三相绕组的磁动势是研究交流电机的基础。本节分析三相绕组合成磁动势的基波, 下一节再分析合成磁动势的高次谐波。
三相绕组是对称的,即三相绕组在空间上彼此相差
式中
将上式改写成:
将式(2)中的三式相加。由于等式右边后三项表示的三个正弦波在空间相位上互差
式中
从式(3)可见,三相合成磁动势基波上一个波幅恒不变的旋转波。可以选择几个特定的时刻来考察三相合成磁动势基波迁移情况。 1) 2) 3) 4) 5) 6) 从1)~6)四个特定的时刻可以看出,磁动势沿空间的分布为正弦分布,其幅值不变,而幅值的位置由
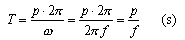
图1 三相合成磁动势基波的推移 再来考察一下磁动势的转速,电流的角频率为
磁动势的转速(单位:转/分)为:
转速 从式(3)可以看出,当某相电流达最大值时,三相合成磁动势基波的幅值位置就在该相绕组的轴线上。例如, 上述分析表明,当对称的三相绕组通过频率为f的对称三相电流时,三相合成磁动势的基波沿空间按正弦规律分布,以同步转速 如果改变电流的相序,即变为A 以上分析结果也可用图解法进一步说明。 图2是三相基波台成磁动势的图解求法:图2六个图表示五个不同瞬间的三相电流相量,三相电流相量在丛轴的投影表示该相电流的瞬时值。右侧六个图表示相应瞬间的三相磁动势波形及合成磁动势的波形。 从图2b可见,当A相电流达正的最大值时(
图2 三相合成磁动势基波的图解分析法 总结一下,三相合成磁动势基波具有以下性质: 1.对称的三相绕组内通以对称的三相电流时,三相结合成磁动势的基波是一个正弦分布、波幅恒定的旋转磁动势波,其波幅为每相脉振磁动势振幅的3/2倍,即
进一步推广,若在对称的m相绕组内通以对称的m相电流,则合成磁动势基波也为圆形旋转磁动势,其幅值为每相脉振势基波幅的m/2倍,即
例如,两相对称绕组通以两相对称电流,设B相绕组的在空间上滞后A相绕组
其合成磁动势基波为
对比式(4.62)可知,其合成磁动势基波为一圆形旋转磁动势。 2.合成磁动势波的转速,即同步转速为
3.当某相电流达量大值时,合成磁动势波的波幅就与该相绕组的轴线重合。 4.合成磁动势基波的转向取决于三相电流的相序和三相绕组在空间上的排列。合成磁动势波从电流超前的相绕组轴线转向电流滞后的相绕组轴线;改变三相电流的相序就可以改为旋转磁动势的转向。 |
电角度,所通的三相电流也是对称的,即在时间相位上也彼此相差
(电角度)的原点取在A相绕组的轴线上,相应B、C相绕组的轴线在
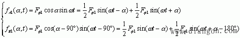
处,并把A相绕组电流为零的瞬间作为时间t的起点,则A、B、C三相绕组各自产生的脉振磁动势基波的表达式为:
(1)
是每相脉振磁动势基波的振幅。利用三角变换公式:
(2)
,故后三项相加结果为零,于是三相绕组合成磁动势的基波为
(3)
是三相合磁动势基波的幅值
(4)





推移到
、
、
、
(如图1的曲线1~6),也就是说,随着时间的推移,整个正弦波沿轴正方向移动,即三相合成磁动势基波是一圆形的旋转磁动势波,其旋转的方向为
,三相合成磁动势基波的推移的速度为
(单位为rad/s),合成磁动势基波旋转一周所转过的电角度为
,合成磁动势基波旋转一周的时间
(5)
(6)
称为同步转速。
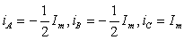
时,A相电流达最大值,这时三相合成磁动势,其幅值位置在
处,即A相绕组的轴线;
时,B相电流达最大值,这时三相合成磁动势
,其幅值位置在
处,即B相绕组的轴线。同样,当C相电流达最大值时,三相合成磁动势的波幅位于C相绕组的轴线上。
B
),A相脉振磁动势基波的幅值达到最大值
,B、C相则等于
。把三个脉振磁动势基波逐点相加,可得三相合成磁动势基波,如图中粗线所示。随着时间的推移,合成磁动势的波幅从A相绕组轴线向B相绕组线移动(图2c)。当B相电流达正的最大值时(
),合成磁动势的波幅便移到B相绕组的轴线上(图2d)。依此类推,当C相电流达正的最大值时(
),合成磁动势的波幅便移到C相绕组的轴线上(图2f)。这样,当电流的相序为A
始终保持不变。因此三相合成都市磁动势基波是一个恒幅的旋转波,我们称此磁动势为圆形旋转磁动势。














