中睿照明网
首页
>
百科知识
>
电工知识
电容式传感器的灵敏度及非线性
时间:2023-03-13
来源:佚名
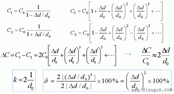
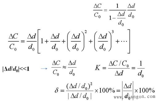
单级变隙电容的相对变化量为:
非线性误差为:
结论:要提高灵敏度,应减小d0,但非线性误差却增大
差动式结构:
相关阅读
电动机常用控制回路(三)
无过载保护点动运转的电动机220V控制电路 无过载保护点动运转的220V控制电路如图2-7所示。 把图2-7(a)采用电气设备实物连接方法构成的实物接线图,如图2-7(b)所示。 图2-7(a) 电...
2023-06-13
9处水电装修万万不能搞错,否则等着花钱重装!(内附走向图)
新房装修,水电走线是一个很真要的组成部分,涉及后期水电安全、家具布局等问题;如果工人贪图省工省时,水电走线不规范,会有很大的安全隐患,比如:电工布线违章引起失火;...
2023-06-11
怎么学习变频器知识?
怎么学习变频器 知识?呢对于很多刚刚接触变频器的人来说,怎么学习是一个至关重要的问题,要想学好变频器知识,除了要有一定的基础,还要有理论学习后的的实践操作,下面介绍...
2023-03-21
QZW118脚位功能和各脚电压
QZW118充电管理芯片 3858 QZW118充电器 QZW118内部原理结构图和脚位功能 QZW118各脚电压功能...
2023-04-03
如何让步进电机动起来?看完保证你收获满满!
【免费下载】 PLC软件下载_PLC软件安装教程_PLC手册下载_PLC案例下载! 【免费学习】 变频器精品课程_西门子PLC精品教程_三菱PLC精品教程! 在自动化设备中,步进驱动器和步进电机运用...
2023-06-27
热销商品
加厚abs安全帽电工建筑工地程施工领导监理透气防砸头盔可印字V型
这款加厚ABS安全帽专为电工、建筑工地施工人员、领导及监理设计,采用高强度ABS工程塑料,抗冲击、防砸性能优异,有效保障头部安全。帽体加厚设计,增强耐用性与防护等级...
¥
5.8
欧普led筒灯3w孔灯超薄桶灯吊顶天花灯过道嵌入式洞灯客厅5w
欧普LED筒灯是一款高品质嵌入式照明产品,适用于客厅、过道、吊顶等多种场景。采用优质LED光源,提供3W和5W两种功率选择,光线柔和均匀,显色指数高,有效还原真实色彩。超...
¥
7.45
水口钳高硬度模型剪钳电子钳工业级口水剪斜嘴钳偏口斜口专用钳子
水口钳高硬度模型剪钳是一款工业级精密工具,专为电子、模型制作及精细作业设计。采用优质高碳钢材质,经热处理工艺打造,具备卓越的硬度和耐磨性,可轻松剪切金属引脚、...
¥
4.8
170电子剪钳II 如意斜口钳 工业斜嘴钳水口钳 模型剪塑胶钳尖嘴钳
170电子剪钳II如意斜口钳是一款专业级精密工具,集工业斜嘴钳、水口钳、模型剪、塑胶钳与尖嘴钳功能于一体,适用于电子维修、模型制作、手工艺及精密作业。其采用优...
¥
4.5
安全帽国标工地加厚施工领导透气安全头盔建筑工程监理免费印字
本款安全帽严格遵循国家GB 2811-2019标准,专为建筑工程、工地施工及监理人员设计。采用高强度ABS工程塑料,加厚壳体有效抗冲击,保障头部安全。帽体轻盈透气,内置可调...
¥
10
扫码手机访问
网站栏目
行业资讯
- 行业资讯
- 技术资讯
- 人物邦
- 产业分析
- 企业动态
学术论文
- 论文
- 技术
百科知识
- LED及OLED
- 生活经验
- 生活维修
- 电工知识
- 电光源
- 材料设备
- 灯具
- 电器附件
照明商城
搜索