直流电动机的感应电动势和电磁转矩
|
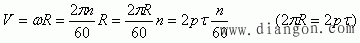
1.电枢绕组的感应电动势 直流电机无论作为发电机还是作为电动机运行,电枢绕组中都感应电动势,该感应电势指一条支路的电势(即电刷间的电势),简称电枢电势。 计算方法是首先推出每根导体的电势,则一条支路中各串联导体的电动势的代数和即为电枢电势。 设电枢导体有效长度为L,导体切割气隙磁场的速度为V,则每根导体的感应电势为:
设电枢总导体数为 则每条支路串联导体数为 则支路电势为:
各导体所处位置的 将上式带入 ∴ 又∵
不计饱和时,
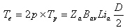
当磁路饱和时, 2.直流电机的电磁转矩 当电枢内同有电流时,载流导体与气隙磁场相互作用产生电磁转矩。 电磁转矩的计算方法为:首先算出一个导体的电磁转矩,再计算一个极下所有导体的电磁转矩,最后乘以2P就得到整个电枢产生的电磁转矩。 设电枢表面任一点的气隙磁密为
由于一极下导体数为
而: ∴ 作用于整个电枢上的转矩为:∴ 因为
如
不计饱和时,
当磁路饱和时, 将
上式表明无论是电动机还是发电机,在能量转换过程中电功率变为机械功率或机械功率变为电功率的这部分功率为 |
(1)
为导体所在处的气隙磁密。
,支路数为2a。
(2)
,它等于电枢表面各点气隙磁密的平均值
(一极下各导体磁密之和,再除导体数得平均磁密)。
整理得:
(3)
(4)
(5)
与励磁电流
成正比,即 
(6)
有效长度为L,电枢直径为D,则作用与该处载流导体上的电磁转矩为:
(7)
,则作用于一极下导体的转矩为:
(8)
(9)
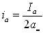
支路电流
(10)
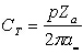
转矩常数
单位为安(A),
为牛米(Nm)
(11)
与励磁电流
(12)
(13)
或
,由于能量不灭,所以两者是相等的。






