Y–Y接(三相三线制),Y0–Y0(三相四线制)对称三相电路的计算
时间:2023-03-13来源:佚名
|
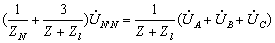
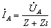
对称三相电路的计算方法可归结为一相正弦电路计算。 ![]() 以N点为参考点,对N’点列写节点方程: ![]() ![]() ![]() 即:在对称Y-Y电路中,中线如同开路,可有可无。 各相电源和负载中的电流等于线电流。 一相计算法: 分析思路:因N、N’两点等电位,可将其短路,且其中电流为零。这样便可将三相电路的计算化为一相电路的计算。 ![]() (1) 由于 ,各相电流独立,彼此无关;(2)由于三相电源、三相负载对称,所以相电流构成对称组。因此,只要分析计算三相中的任一相,而其它两相的电压、电流就能按对称顺序写出。 一相计算电路(A相): ![]() 注意:在一相计算电路中,连接N、N’的是短路线,与中线阻抗ZN无关。 ![]() 由一相计算电路可得: ![]() 由对称性可写出: (中线电流为0)U N’N = 0,中线电流为零。有无中线对电路没有影响。没有中线(Y–Y 接,三相三线制),可将中线连上。因此Y–Y接与Y0–Y0接(有中线)电路计算方法相同。且中线有阻抗时可短路掉。 结论: 对称三相电路(Y-Y): (1)U N’N=0,电源中点与负载中点等电位。 (2)中线电流为零。 (3)有无中线对电路没有影响。 没有中线(Y–Y接,三相三线制),可加中线; 中线有阻抗时可短路掉。 (4)对称情况下,各相电压、电流都是对称的。只要算出一相的电压、电流,则其它两相的电压、电流可按对称关系直接写出。 (5)各相的计算具有独立性,该相电流只决定于这一相的电压与阻抗,与其它两相无关。 (6)可以画出单独一相的计算电路,对称三相电路的计算可以归结为单独一相的计算。 |





,各相电流独立,彼此无关;


(中线电流为0)






