进给伺服系统的定位精度
时间:2023-03-13来源:佚名
|
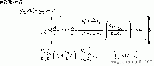
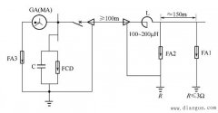
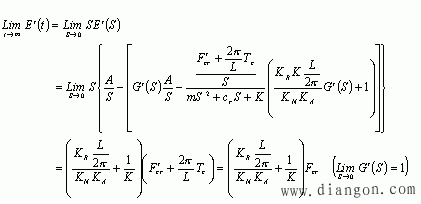
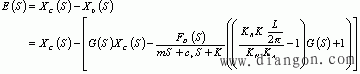
定位精度是数控机床的重要精度指标,该指标的提高与整个进给伺服系统的系统参数的合理选择有着密切的关系。通常定位精度使用定位误差来衡量的,即用期望的指令位置与实际位置之差进行评定,即有: EC=XC-XO 在实际中定位精度的检测是在空载的情况进行的,即无负载力(Fc =0),只有摩擦力。这样在检测过程中作为干扰输入的摩擦力和检测指令的位置输入都可以看成是系统的阶跃激励,即: 闭环系统的定位误差 ![]() 半闭环系统的定位误差 式中KR=Ra/KT,KT是伺服电机的转矩系数;K是机械执行部件的传动刚度系数。 讨论由 可知,为减小定位误差可采用下列措施: 减小传动间的摩擦力Fcr,如采用滚动传动取代滑动。 增大KN、KA,其实质增大KS(在系统稳定的范围内)。 减小KR (=Ra /KT),即选择KT较大的伺服电机。 在半闭环系统中,要尽可能增大传动机构的刚度K,这是因为当K较小时,将产生较大的弹性变形,从而使定位误差增大。 |
闭环系统的定位误差

可知,为减小定位误差可采用下列措施:
减小传动间的摩擦力Fcr,如采用滚动传动取代滑动。 






